🇳🇴 🇬🇧 🇩🇪 🇨🇿 🇫🇮

Meteor over Moelv 2025-11-20 16:50:47 UTC

KML-fil  |  Interaktivt kart

Kartet viser peilingene for meteoren. De lysere linjene viser retningene fra observasjonsstedene for meteorens tilsynekomst, og de mørkere linjene viser hvor den sist kunne sees. Den blå pila viser meteorens synlige ferd.

static map
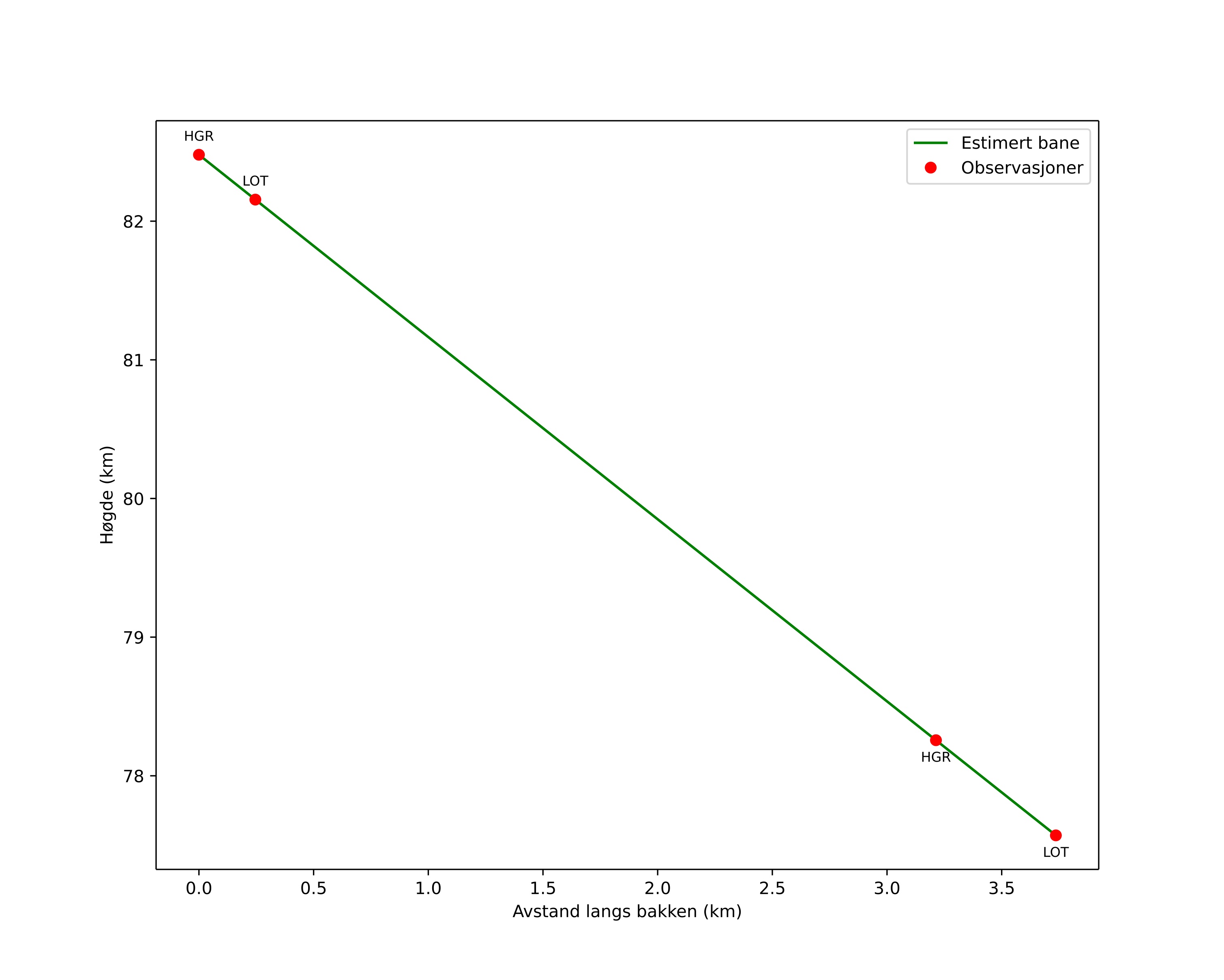
height profile
Meteorens atmosfæriske bane:
Starthøgde: 82,5 km
Slutthøgde: 77,6 km
Startposisjon: 61,246N 10,826E
Sluttposisjon: 61,236N 10,759E
Retning: 253,0°
Fallvinkel: 52,7°
Inngangshastighet: 23,5 km/s
Radiantens rektascensjon: 02:15 (33,9°)
Radiantens deklinasjon: 50,0°
Meteorsverm: sporadisk
Meteoroidens baneelement:
Perihelavstand: 0,756 AU
Eksentrisitet: 0,743
Inklinasjon: 19,5°
Knutelengde: 238,3°
Perihelargument: 243,3°
Midlere anomali: 352,4°
Epoke: 2025 NOV 20 16:50:47
orbit plot

Ikke-interaktivt plott | Interaktivt plott

position vs time
speed and acceleration

Hagar (HGR) cam7


gnomonic
Videoer
• Gnomonisk
• Gnomonisk med koordinater
• Original
• Original med koordinater
Bilder
• Gnomonisk
• Gnomonisk med koordinater
• Original
• Original med koordinater
Tekstfiler
• Deteksjon
• Observasjon
• Koordinater
• Logg
Lysstyrke

Loten (LOT) cam6


gnomonic
Videoer
• Gnomonisk
• Gnomonisk med koordinater
• Original
• Original med koordinater
Bilder
• Gnomonisk
• Gnomonisk med koordinater
• Original
• Original med koordinater
Tekstfiler
• Deteksjon
• Observasjon
• Koordinater
• Logg
Lysstyrke