🇳🇴 🇬🇧 🇩🇪 🇨🇿 🇫🇮

Meteor Kirkenærin yllä 2025-11-20 23:27:58 UTC

KML-tiedosto  |  Interaktiivinen kartta

Kartta näyttää meteorin suuntahavainnot. Vaaleammat viivat näyttävät suunnat havaintoasemilta meteorin ilmestyessä, ja tummemmat viivat näyttävät, missä se viimeksi nähtiin. Sininen nuoli näyttää meteorin näkyvän lennon.

static map
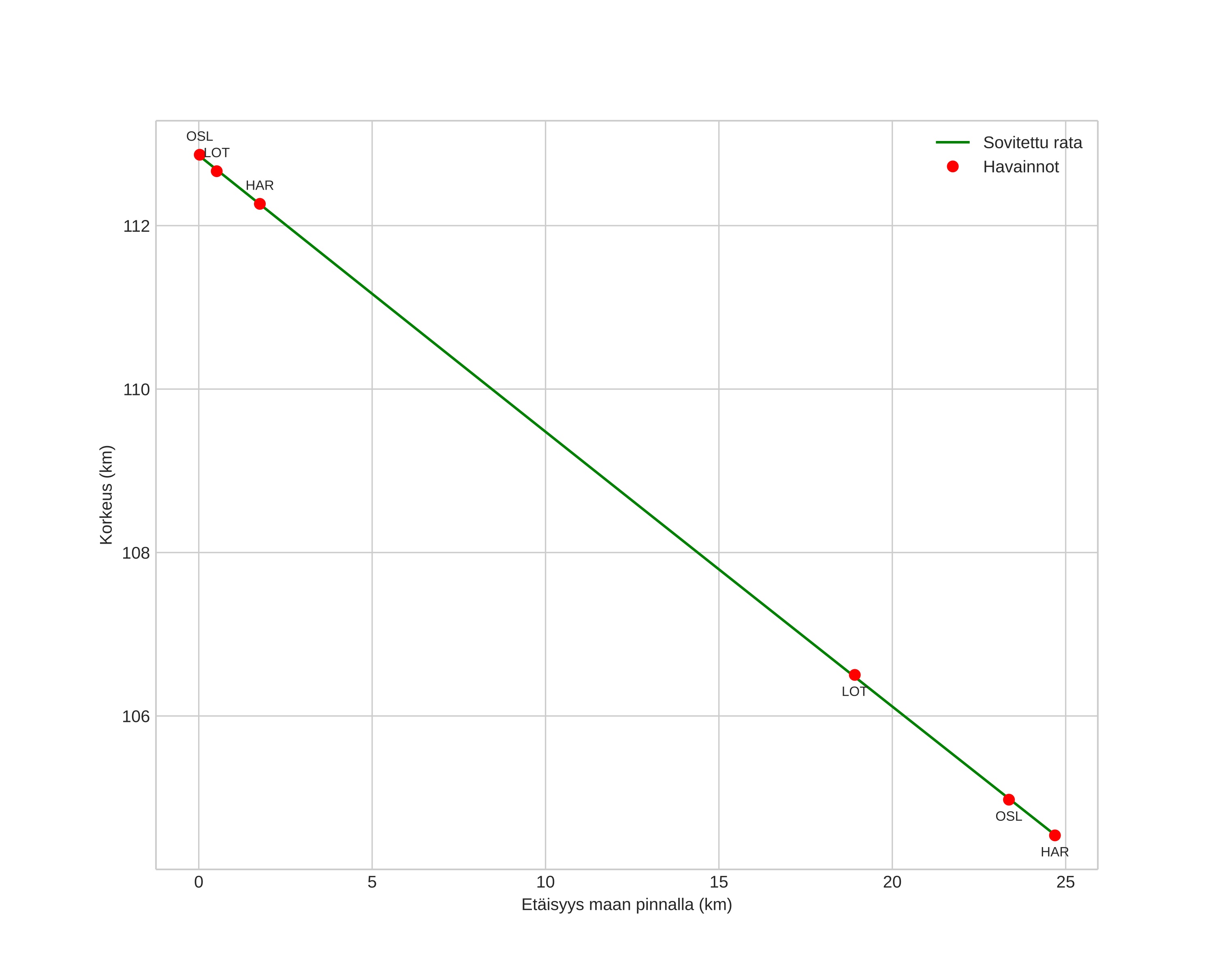
height profile
Meteorin ilmakehärata:
Alkukorkeus: 112,9 km
Loppukorkeus: 104,5 km
Alkupiste: 60,385N 12,979E
Loppupiste: 60,344N 12,538E
Suunta: 259,5°
Kallistuskulma: 18,8°
Tulonopeus: 72,2 km/s
Radiantin R,A,: 10:17 (154,5°)
Radiantin Dekl,: 21,2°
Meteoriparvi: Leonidit
Meteoroidin rataelementit:
Perihelietäisyys: 0,988 AU
Eksentrisyys: 0,941
Inklinaatio: 163,0°
Nousevan solmun pituus: 238,6°
Perihelin argumentti: 180,7°
Keskianomalia: 360,0°
Epookki: 2025 NOV 20 23:27:58
orbit plot

Ei-interaktiivinen kuvaaja | Interaktiivinen kuvaaja

position vs time
speed and acceleration

Harestua (HAR) cam2


gnomonic
Videot:
• Gnomoninen
• Gnomoninen koordinaateilla
• Alkuperäinen
• Alkuperäinen koordinaateilla
Kuvat:
• Gnomoninen
• Gnomoninen koordinaateilla
• Alkuperäinen
• Alkuperäinen koordinaateilla
Tekstitiedostot:
• Havaintoraportti
• Observaatio
• Koordinaatit
• Loki
Kirkkaus

Loten (LOT) cam7


gnomonic
Videot:
• Gnomoninen
• Gnomoninen koordinaateilla
• Alkuperäinen
• Alkuperäinen koordinaateilla
Kuvat:
• Gnomoninen
• Gnomoninen koordinaateilla
• Alkuperäinen
• Alkuperäinen koordinaateilla
Tekstitiedostot:
• Havaintoraportti
• Observaatio
• Koordinaatit
• Loki
Kirkkaus

Voksenlia (OSL) cam5


gnomonic
Videot:
• Gnomoninen
• Gnomoninen koordinaateilla
• Alkuperäinen
• Alkuperäinen koordinaateilla
Kuvat:
• Gnomoninen
• Gnomoninen koordinaateilla
• Alkuperäinen
• Alkuperäinen koordinaateilla
Tekstitiedostot:
• Havaintoraportti
• Observaatio
• Koordinaatit
• Loki
Kirkkaus