🇳🇴 🇬🇧 🇩🇪 🇨🇿 🇫🇮

Meteor Svärdsjöin yllä 2025-11-21 00:23:44 UTC

KML-tiedosto  |  Interaktiivinen kartta

Kartta näyttää meteorin suuntahavainnot. Vaaleammat viivat näyttävät suunnat havaintoasemilta meteorin ilmestyessä, ja tummemmat viivat näyttävät, missä se viimeksi nähtiin. Sininen nuoli näyttää meteorin näkyvän lennon.

static map
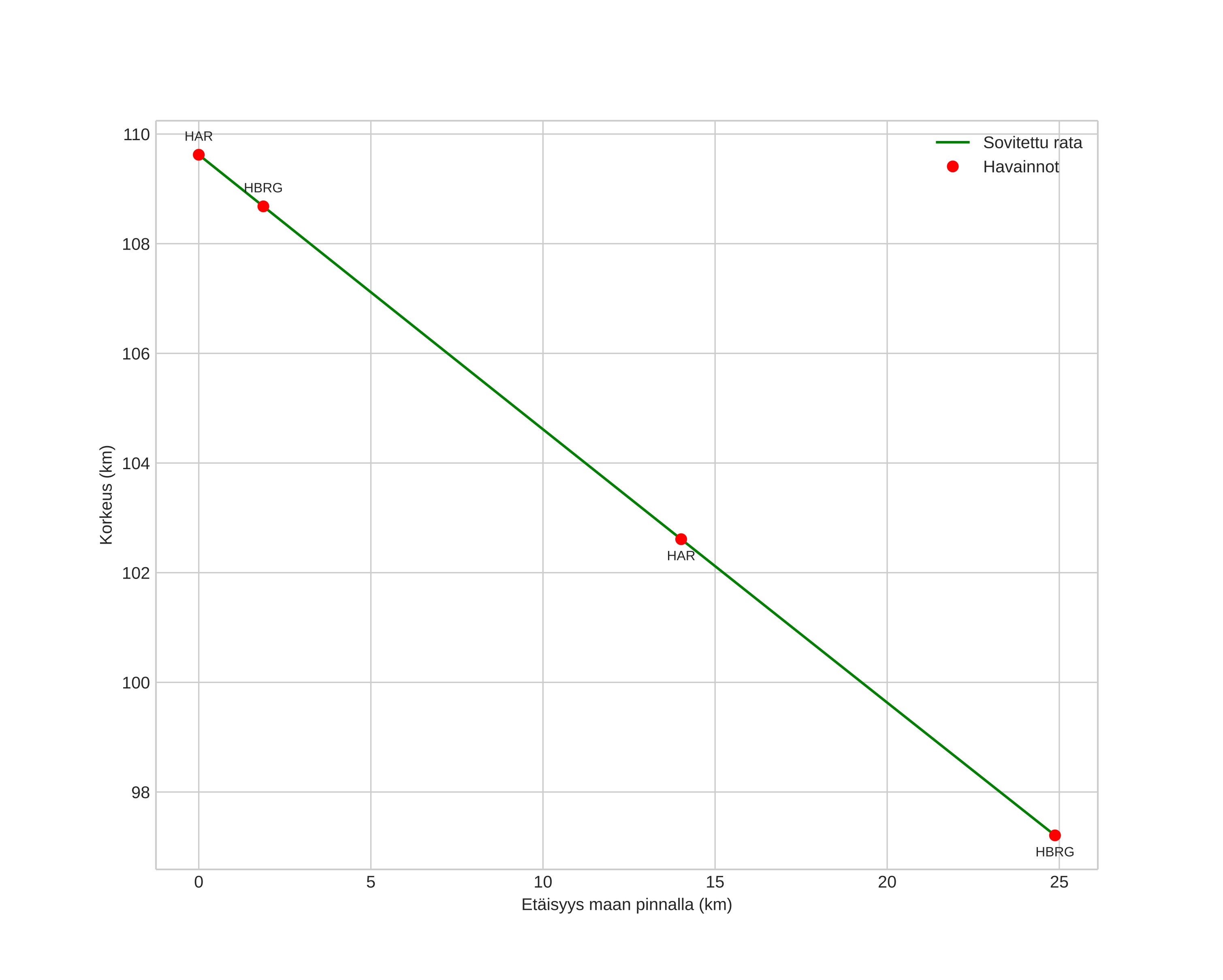
height profile
Meteorin ilmakehärata:
Alkukorkeus: 109,6 km
Loppukorkeus: 97,2 km
Alkupiste: 60,800N 16,177E
Loppupiste: 60,803N 15,718E
Suunta: 271,0°
Kallistuskulma: 26,5°
Tulonopeus: 58,2 km/s
Radiantin R,A,: 10:30 (157,7°)
Radiantin Dekl,: 22,1°
Meteoriparvi: Leonidit
Meteoroidin rataelementit:
Perihelietäisyys: 0,756 AU
Eksentrisyys: 0,142
Inklinaatio: 155,4°
Nousevan solmun pituus: 238,6°
Perihelin argumentti: 28,2°
Keskianomalia: 143,4°
Epookki: 2025 NOV 21 00:23:44
orbit plot

Ei-interaktiivinen kuvaaja | Interaktiivinen kuvaaja

position vs time
speed and acceleration

Harestua (HAR) cam2


gnomonic
Videot:
• Gnomoninen
• Gnomoninen koordinaateilla
• Alkuperäinen
• Alkuperäinen koordinaateilla
Kuvat:
• Gnomoninen
• Gnomoninen koordinaateilla
• Alkuperäinen
• Alkuperäinen koordinaateilla
Tekstitiedostot:
• Havaintoraportti
• Observaatio
• Koordinaatit
• Loki
Kirkkaus