🇳🇴 🇬🇧 🇩🇪 🇨🇿 🇫🇮

Meteor over Fossby 2025-11-21 00:31:32 UTC

KML-fil  |  Interaktivt kart

Kartet viser peilingene for meteoren. De lysere linjene viser retningene fra observasjonsstedene for meteorens tilsynekomst, og de mørkere linjene viser hvor den sist kunne sees. Den blå pila viser meteorens synlige ferd.

static map
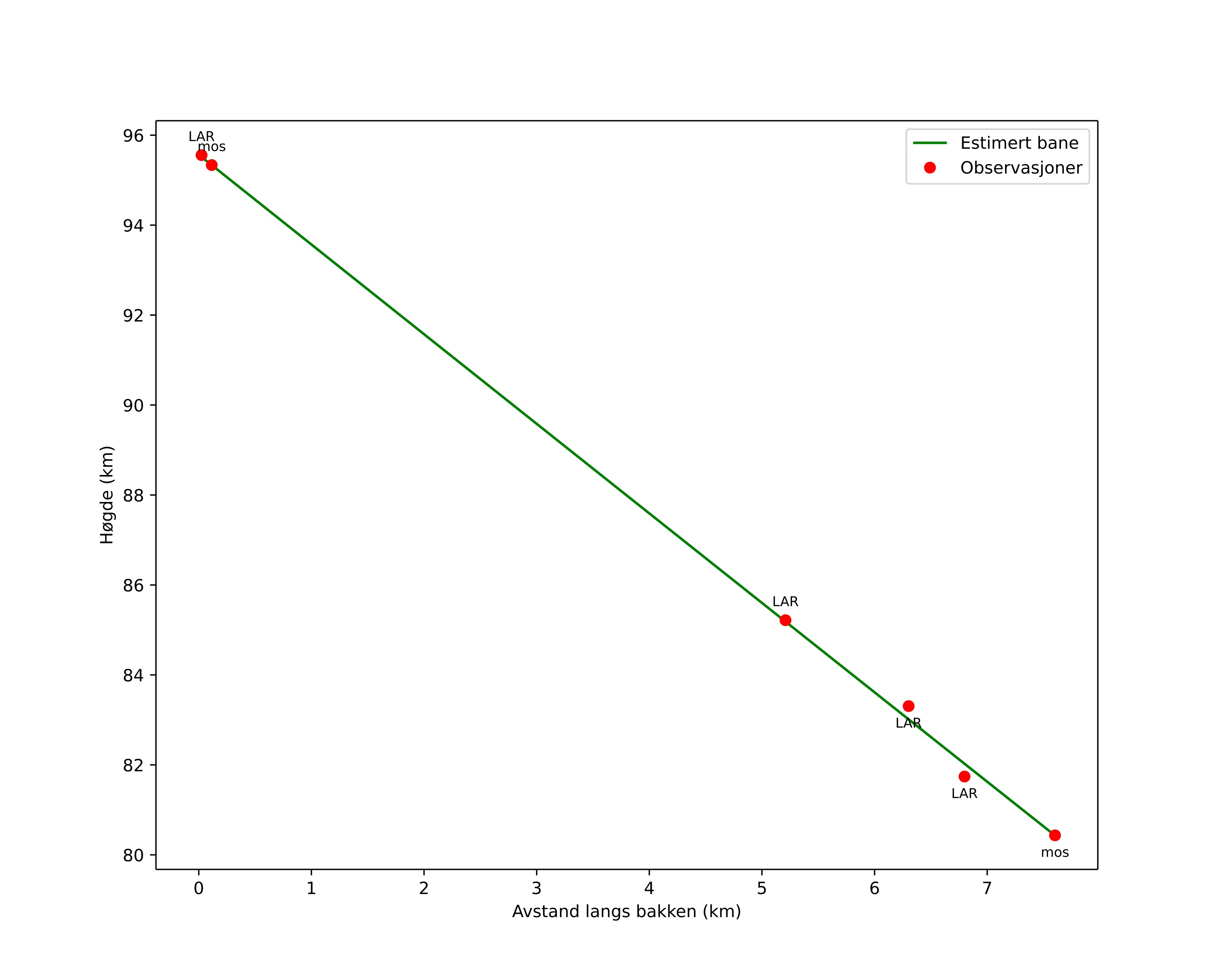
height profile
Meteorens atmosfæriske bane:
Starthøgde: 95,6 km
Slutthøgde: 80,4 km
Startposisjon: 58,971N 11,558E
Sluttposisjon: 59,024N 11,644E
Retning: 40,2°
Fallvinkel: 63,4°
Inngangshastighet: 29,5 km/s
Radiantens rektascensjon: 03:48 (57,2°)
Radiantens deklinasjon: 34,9°
Meteorsverm: sporadisk
Meteoroidens baneelement:
Perihelavstand: 0,497 AU
Eksentrisitet: 0,871
Inklinasjon: 13,7°
Knutelengde: 238,6°
Perihelargument: 273,9°
Midlere anomali: 354,6°
Epoke: 2025 NOV 21 00:31:32
orbit plot

Ikke-interaktivt plott | Interaktivt plott

position vs time
speed and acceleration

Larvik (LAR) cam2


gnomonic
Videoer
• Gnomonisk
• Gnomonisk med koordinater
• Original
• Original med koordinater
Bilder
• Gnomonisk
• Gnomonisk med koordinater
• Original
• Original med koordinater
Tekstfiler
• Deteksjon
• Observasjon
• Koordinater
• Logg
Lysstyrke

Larvik (LAR) cam7


gnomonic
Videoer
• Gnomonisk
• Gnomonisk med koordinater
• Original
• Original med koordinater
Bilder
• Gnomonisk
• Gnomonisk med koordinater
• Original
• Original med koordinater
Tekstfiler
• Deteksjon
• Observasjon
• Koordinater
• Logg
Lysstyrke

Moss (mos) cam7


gnomonic
Videoer
• Gnomonisk
• Gnomonisk med koordinater
• Original
• Original med koordinater
Bilder
• Gnomonisk
• Gnomonisk med koordinater
• Original
• Original med koordinater
Tekstfiler
• Deteksjon
• Observasjon
• Koordinater
• Logg
Lysstyrke