🇳🇴 🇬🇧 🇩🇪 🇨🇿 🇫🇮

Meteor over Årøysund 2025-11-21 01:15:29 UTC

KML-fil  |  Interaktivt kart

Kartet viser peilingene for meteoren. De lysere linjene viser retningene fra observasjonsstedene for meteorens tilsynekomst, og de mørkere linjene viser hvor den sist kunne sees. Den blå pila viser meteorens synlige ferd.

static map
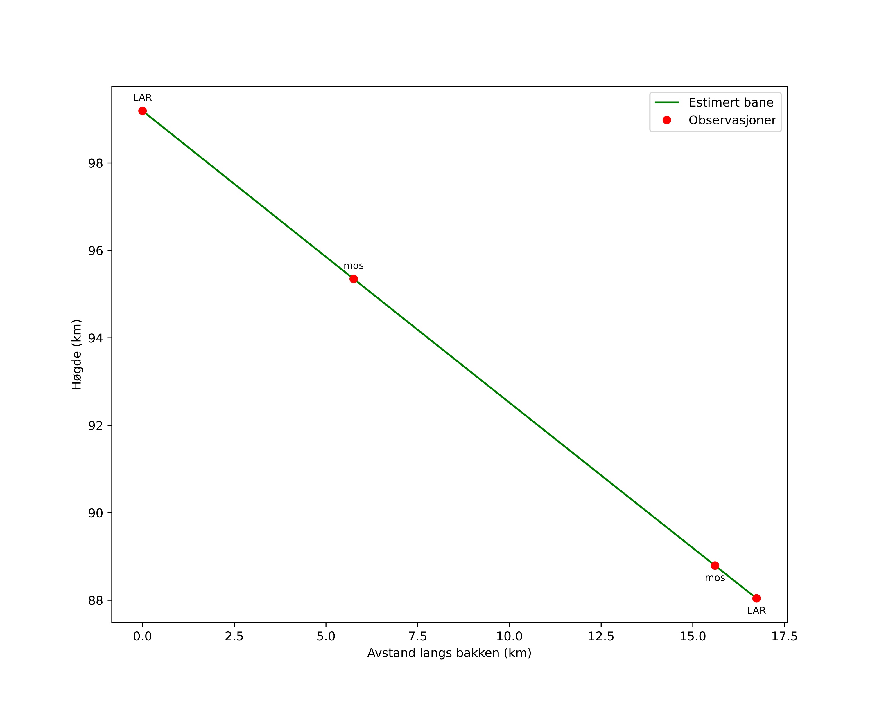
height profile
Meteorens atmosfæriske bane:
Starthøgde: 99,2 km
Slutthøgde: 88,0 km
Startposisjon: 59,243N 10,859E
Sluttposisjon: 59,181N 10,592E
Retning: 245,5°
Fallvinkel: 33,8°
Inngangshastighet: 64,6 km/s
Radiantens rektascensjon: 12:03 (180,8°)
Radiantens deklinasjon: 40,7°
Meteorsverm: sporadisk
Meteoroidens baneelement:
Perihelavstand: 0,930 AU
Eksentrisitet: 1,169
Inklinasjon: 116,6°
Knutelengde: 238,6°
Perihelargument: 153,0°
Midlere anomali: 1,3°
Epoke: 2025 NOV 21 01:15:29
orbit plot

Ikke-interaktivt plott | Interaktivt plott

position vs time
speed and acceleration

Larvik (LAR) cam6


gnomonic
Videoer
• Gnomonisk
• Gnomonisk med koordinater
• Original
• Original med koordinater
Bilder
• Gnomonisk
• Gnomonisk med koordinater
• Original
• Original med koordinater
Tekstfiler
• Deteksjon
• Observasjon
• Koordinater
• Logg
Lysstyrke

Moss (mos) cam7


gnomonic
Videoer
• Gnomonisk
• Gnomonisk med koordinater
• Original
• Original med koordinater
Bilder
• Gnomonisk
• Gnomonisk med koordinater
• Original
• Original med koordinater
Tekstfiler
• Deteksjon
• Observasjon
• Koordinater
• Logg
Lysstyrke