🇳🇴 🇬🇧 🇩🇪 🇨🇿 🇫🇮

Meteor Breivikbotnin yllä 2025-11-21 01:44:20 UTC

KML-tiedosto  |  Interaktiivinen kartta

Kartta näyttää meteorin suuntahavainnot. Vaaleammat viivat näyttävät suunnat havaintoasemilta meteorin ilmestyessä, ja tummemmat viivat näyttävät, missä se viimeksi nähtiin. Sininen nuoli näyttää meteorin näkyvän lennon.

static map
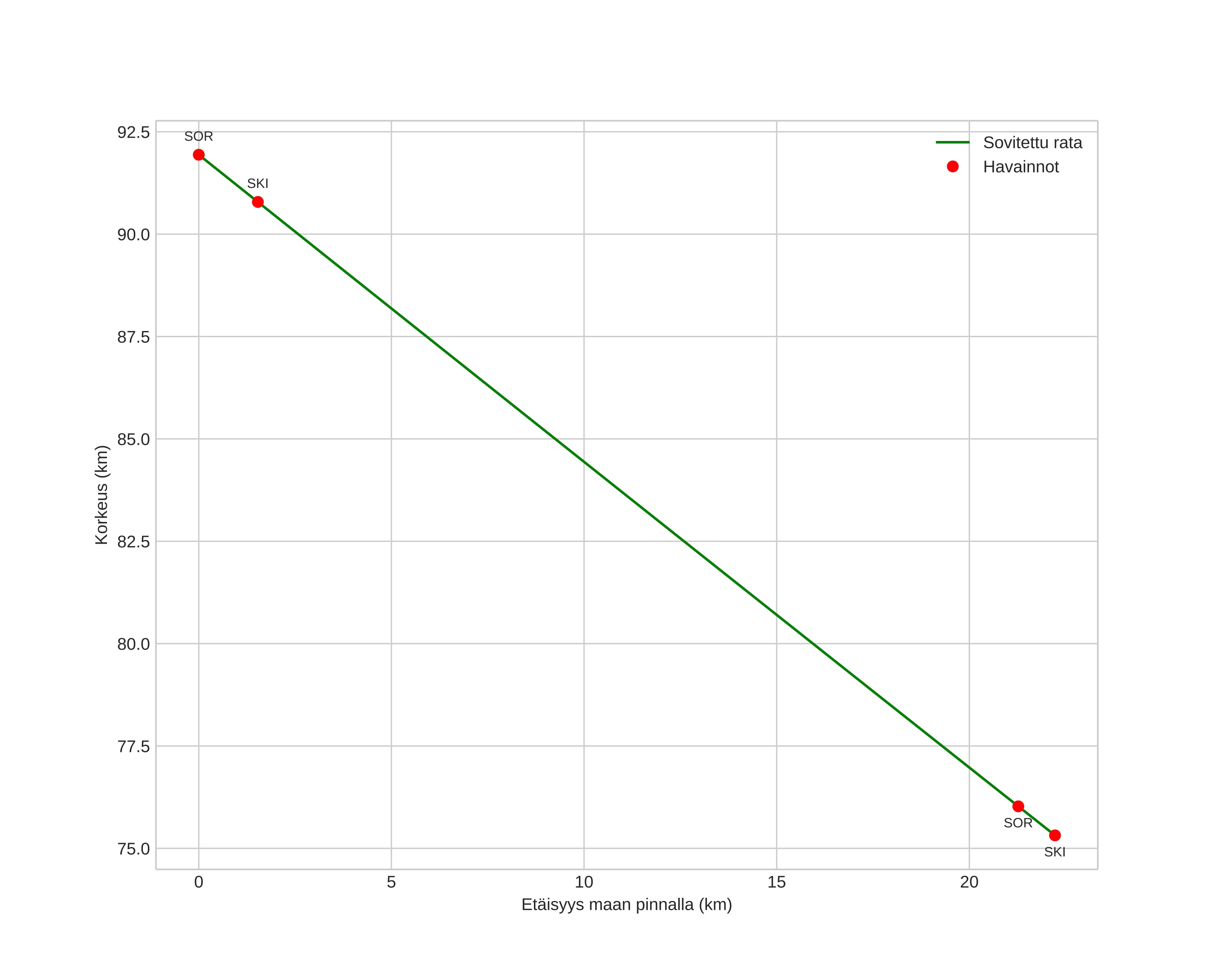
height profile
Meteorin ilmakehärata:
Alkukorkeus: 91,9 km
Loppukorkeus: 75,3 km
Alkupiste: 70,498N 21,165E
Loppupiste: 70,652N 21,549E
Suunta: 39,6°
Kallistuskulma: 36,8°
Tulonopeus: 35,2 km/s
Radiantin R,A,: 04:53 (73,4°)
Radiantin Dekl,: 19,4°
Meteoriparvi: Sporadinen
Meteoroidin rataelementit:
Perihelietäisyys: 0,257 AU
Eksentrisyys: 0,917
Inklinaatio: 5,0°
Nousevan solmun pituus: 58,7°
Perihelin argumentti: 123,1°
Keskianomalia: 353,1°
Epookki: 2025 NOV 21 01:44:20
orbit plot

Ei-interaktiivinen kuvaaja | Interaktiivinen kuvaaja

position vs time
speed and acceleration

Skibotn (SKI) cam2


gnomonic
Videot:
• Gnomoninen
• Gnomoninen koordinaateilla
• Alkuperäinen
• Alkuperäinen koordinaateilla
Kuvat:
• Gnomoninen
• Gnomoninen koordinaateilla
• Alkuperäinen
• Alkuperäinen koordinaateilla
Tekstitiedostot:
• Havaintoraportti
• Observaatio
• Koordinaatit
• Loki
Kirkkaus

Sorreisa (SOR) cam2


gnomonic
Videot:
• Gnomoninen
• Gnomoninen koordinaateilla
• Alkuperäinen
• Alkuperäinen koordinaateilla
Kuvat:
• Gnomoninen
• Gnomoninen koordinaateilla
• Alkuperäinen
• Alkuperäinen koordinaateilla
Tekstitiedostot:
• Havaintoraportti
• Observaatio
• Koordinaatit
• Loki
Kirkkaus