🇳🇴 🇬🇧 🇩🇪 🇨🇿 🇫🇮

Meteor over Vigrestad 2025-11-21 03:10:34 UTC

KML-fil  |  Interaktivt kart

Kartet viser peilingene for meteoren. De lysere linjene viser retningene fra observasjonsstedene for meteorens tilsynekomst, og de mørkere linjene viser hvor den sist kunne sees. Den blå pila viser meteorens synlige ferd.

static map
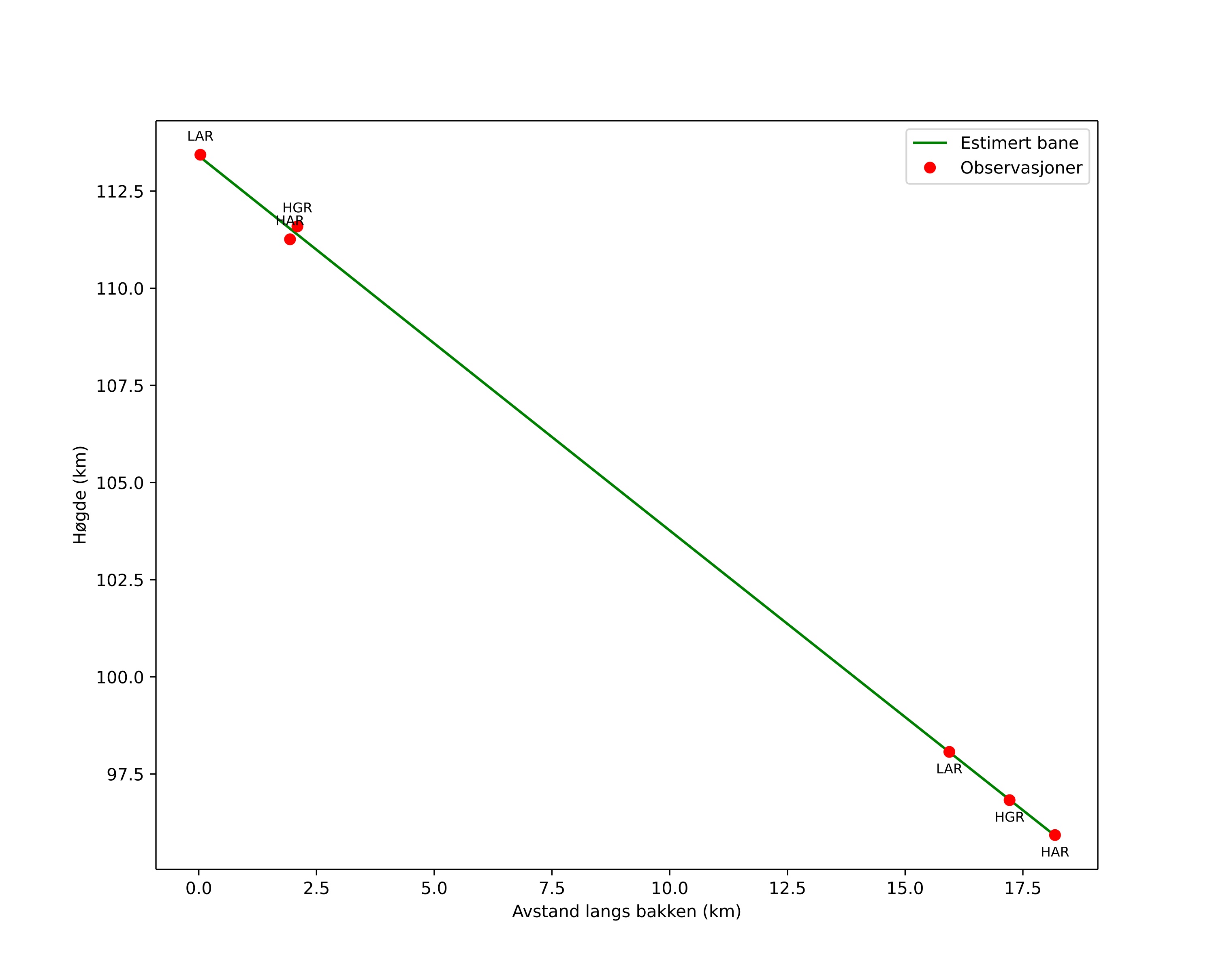
height profile
Meteorens atmosfæriske bane:
Starthøgde: 113,4 km
Slutthøgde: 95,9 km
Startposisjon: 57,417N 5,585E
Sluttposisjon: 57,521N 5,350E
Retning: 309,4°
Fallvinkel: 43,9°
Inngangshastighet: 73,0 km/s
Radiantens rektascensjon: 09:57 (149,3°)
Radiantens deklinasjon: 19,6°
Meteorsverm: Leonidene
Meteoroidens baneelement:
Perihelavstand: 0,972 AU
Eksentrisitet: 1,000
Inklinasjon: 168,5°
Knutelengde: 238,7°
Perihelargument: 194,6°
Midlere anomali: 360,0°
Epoke: 2025 NOV 21 03:10:34
orbit plot

Ikke-interaktivt plott | Interaktivt plott

position vs time
speed and acceleration

Hagar (HGR) cam5


gnomonic
Videoer
• Gnomonisk
• Gnomonisk med koordinater
• Original
• Original med koordinater
Bilder
• Gnomonisk
• Gnomonisk med koordinater
• Original
• Original med koordinater
Tekstfiler
• Deteksjon
• Observasjon
• Koordinater
• Logg
Lysstyrke

Harestua (HAR) cam4


gnomonic
Videoer
• Gnomonisk
• Gnomonisk med koordinater
• Original
• Original med koordinater
Bilder
• Gnomonisk
• Gnomonisk med koordinater
• Original
• Original med koordinater
Tekstfiler
• Deteksjon
• Observasjon
• Koordinater
• Logg
Lysstyrke

Larvik (LAR) cam4


gnomonic
Videoer
• Gnomonisk
• Gnomonisk med koordinater
• Original
• Original med koordinater
Bilder
• Gnomonisk
• Gnomonisk med koordinater
• Original
• Original med koordinater
Tekstfiler
• Deteksjon
• Observasjon
• Koordinater
• Logg
Lysstyrke