🇳🇴 🇬🇧 🇩🇪 🇨🇿 🇫🇮

Meteor over Storslett 2025-11-22 05:12:29 UTC

KML file  |  Interactive map

The map shows the bearings for the meteor. The lighter lines show the directions from the observation sites at the meteor's appearance, and the darker lines show where it was last seen. The blue arrow indicates the visible path of the meteor.

static map
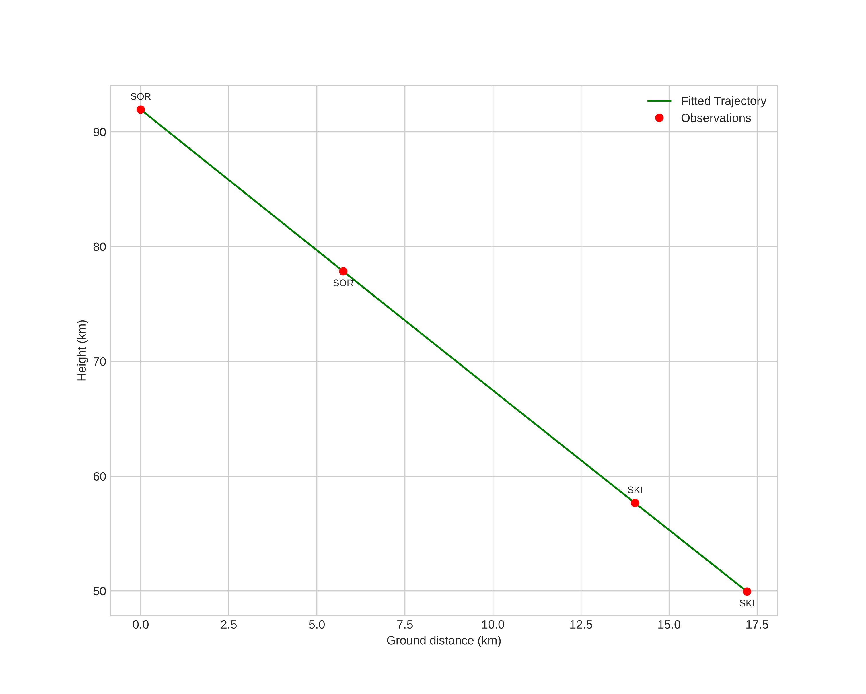
height profile
wind profile
Meteor's Atmospheric Trajectory:
Start height: 91.9 km
End height: 49.9 km
Start position: 69.336N 21.703E
End position: 69.388N 21.289E
Direction: 289.7°
Inclination angle: 67.7°
Entry speed: 14.0 km/s
Radiant R.A.: 13:34 (203.5°)
Radiant Dec.: 51.1°
Meteor Shower: sporadic
Meteoroid's Orbital Elements:
Perihelion distance: 0.633 AU
Eccentricity: 0.221
Inclination: 15.0°
Long. of Asc. Node: 239.8°
Argument of Perihelion: 11.8°
Mean Anomaly: 162.1°
Epoch: 2025 NOV 22 05:12:29
orbit plot

Non-interactive plot | Interactive plot

position vs time
speed and acceleration

Skibotn (SKI) cam7


gnomonic
Videos
• Gnomonic
• Gnomonic with coordinates
• Original
• Original with coordinates
Images
• Gnomonic
• Gnomonic with coordinates
• Original
• Original with coordinates
Text Files
• Detection
• Observation
• Coordinates
• Log
Brightness

Sorreisa (SOR) cam2


gnomonic
Videos
• Gnomonic
• Gnomonic with coordinates
• Original
• Original with coordinates
Images
• Gnomonic
• Gnomonic with coordinates
• Original
• Original with coordinates
Text Files
• Detection
• Observation
• Coordinates
• Log
Brightness