🇳🇴 🇬🇧 🇩🇪 🇨🇿 🇫🇮

Meteor Moenin yllä 2025-11-23 06:05:34 UTC

KML-tiedosto  |  Interaktiivinen kartta

Kartta näyttää meteorin suuntahavainnot. Vaaleammat viivat näyttävät suunnat havaintoasemilta meteorin ilmestyessä, ja tummemmat viivat näyttävät, missä se viimeksi nähtiin. Sininen nuoli näyttää meteorin näkyvän lennon.

static map
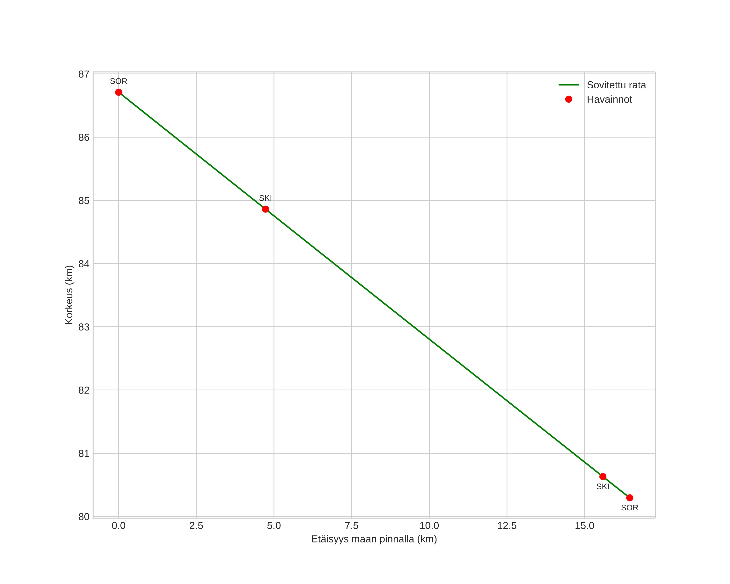
height profile
Meteorin ilmakehärata:
Alkukorkeus: 86,7 km
Loppukorkeus: 80,3 km
Alkupiste: 68,971N 18,270E
Loppupiste: 68,885N 18,605E
Suunta: 125,2°
Kallistuskulma: 21,3°
Tulonopeus: 23,6 km/s
Radiantin R,A,: 03:36 (54,0°)
Radiantin Dekl,: 27,2°
Meteoriparvi: Sporadinen
Meteoroidin rataelementit:
Perihelietäisyys: 0,618 AU
Eksentrisyys: 0,739
Inklinaatio: 5,1°
Nousevan solmun pituus: 240,8°
Perihelin argumentti: 263,2°
Keskianomalia: 348,1°
Epookki: 2025 NOV 23 06:05:34
orbit plot

Ei-interaktiivinen kuvaaja | Interaktiivinen kuvaaja

position vs time
speed and acceleration

Skibotn (SKI) cam4


gnomonic
Videot:
• Gnomoninen
• Gnomoninen koordinaateilla
• Alkuperäinen
• Alkuperäinen koordinaateilla
Kuvat:
• Gnomoninen
• Gnomoninen koordinaateilla
• Alkuperäinen
• Alkuperäinen koordinaateilla
Tekstitiedostot:
• Havaintoraportti
• Observaatio
• Koordinaatit
• Loki
Kirkkaus

Sorreisa (SOR) cam7


gnomonic
Videot:
• Gnomoninen
• Gnomoninen koordinaateilla
• Alkuperäinen
• Alkuperäinen koordinaateilla
Kuvat:
• Gnomoninen
• Gnomoninen koordinaateilla
• Alkuperäinen
• Alkuperäinen koordinaateilla
Tekstitiedostot:
• Havaintoraportti
• Observaatio
• Koordinaatit
• Loki
Kirkkaus