🇳🇴 🇬🇧 🇩🇪 🇨🇿 🇫🇮

Meteor over Evenskjer 2025-11-23 18:27:12 UTC

KML-fil  |  Interaktivt kart

Kartet viser peilingene for meteoren. De lysere linjene viser retningene fra observasjonsstedene for meteorens tilsynekomst, og de mørkere linjene viser hvor den sist kunne sees. Den blå pila viser meteorens synlige ferd.

static map
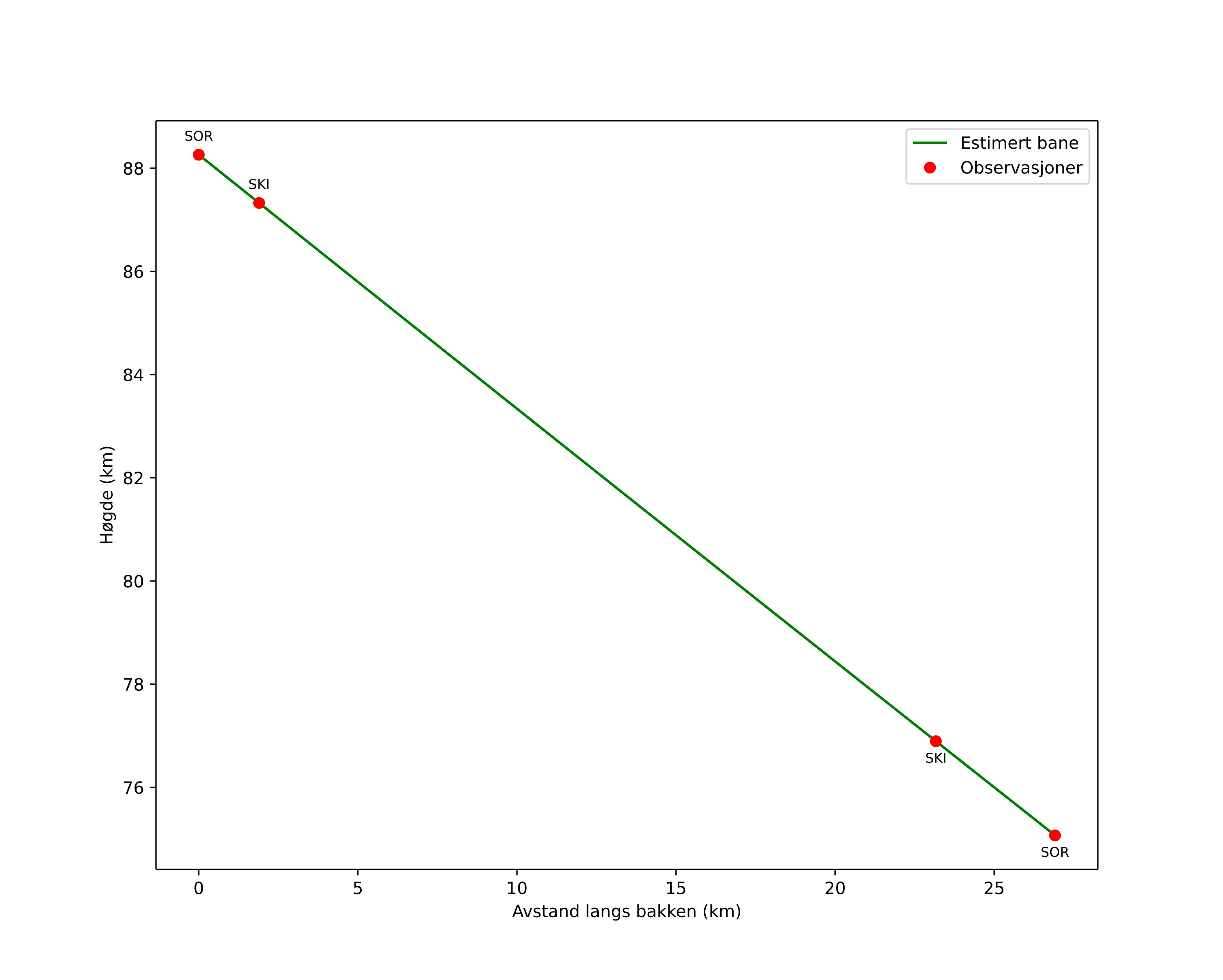
height profile
Meteorens atmosfæriske bane:
Starthøgde: 88,3 km
Slutthøgde: 75,1 km
Startposisjon: 68,057N 17,041E
Sluttposisjon: 68,177N 16,477E
Retning: 300,0°
Fallvinkel: 26,1°
Inngangshastighet: 18,7 km/s
Radiantens rektascensjon: 03:27 (51,9°)
Radiantens deklinasjon: 6,6°
Meteorsverm: sporadisk
Meteoroidens baneelement:
Perihelavstand: 0,755 AU
Eksentrisitet: 0,574
Inklinasjon: 5,4°
Knutelengde: 61,4°
Perihelargument: 69,3°
Midlere anomali: 341,4°
Epoke: 2025 NOV 23 18:27:12
orbit plot

Ikke-interaktivt plott | Interaktivt plott

position vs time
speed and acceleration

Skibotn (SKI) cam4


gnomonic
Videoer
• Gnomonisk
• Gnomonisk med koordinater
• Original
• Original med koordinater
Bilder
• Gnomonisk
• Gnomonisk med koordinater
• Original
• Original med koordinater
Tekstfiler
• Deteksjon
• Observasjon
• Koordinater
• Logg
Lysstyrke

Sorreisa (SOR) cam4


gnomonic
Videoer
• Gnomonisk
• Gnomonisk med koordinater
• Original
• Original med koordinater
Bilder
• Gnomonisk
• Gnomonisk med koordinater
• Original
• Original med koordinater
Tekstfiler
• Deteksjon
• Observasjon
• Koordinater
• Logg
Lysstyrke