🇳🇴 🇬🇧 🇩🇪 🇨🇿 🇫🇮

Meteor Olderdalenin yllä 2025-11-23 20:45:49 UTC

KML-tiedosto  |  Interaktiivinen kartta

Kartta näyttää meteorin suuntahavainnot. Vaaleammat viivat näyttävät suunnat havaintoasemilta meteorin ilmestyessä, ja tummemmat viivat näyttävät, missä se viimeksi nähtiin. Sininen nuoli näyttää meteorin näkyvän lennon.

static map
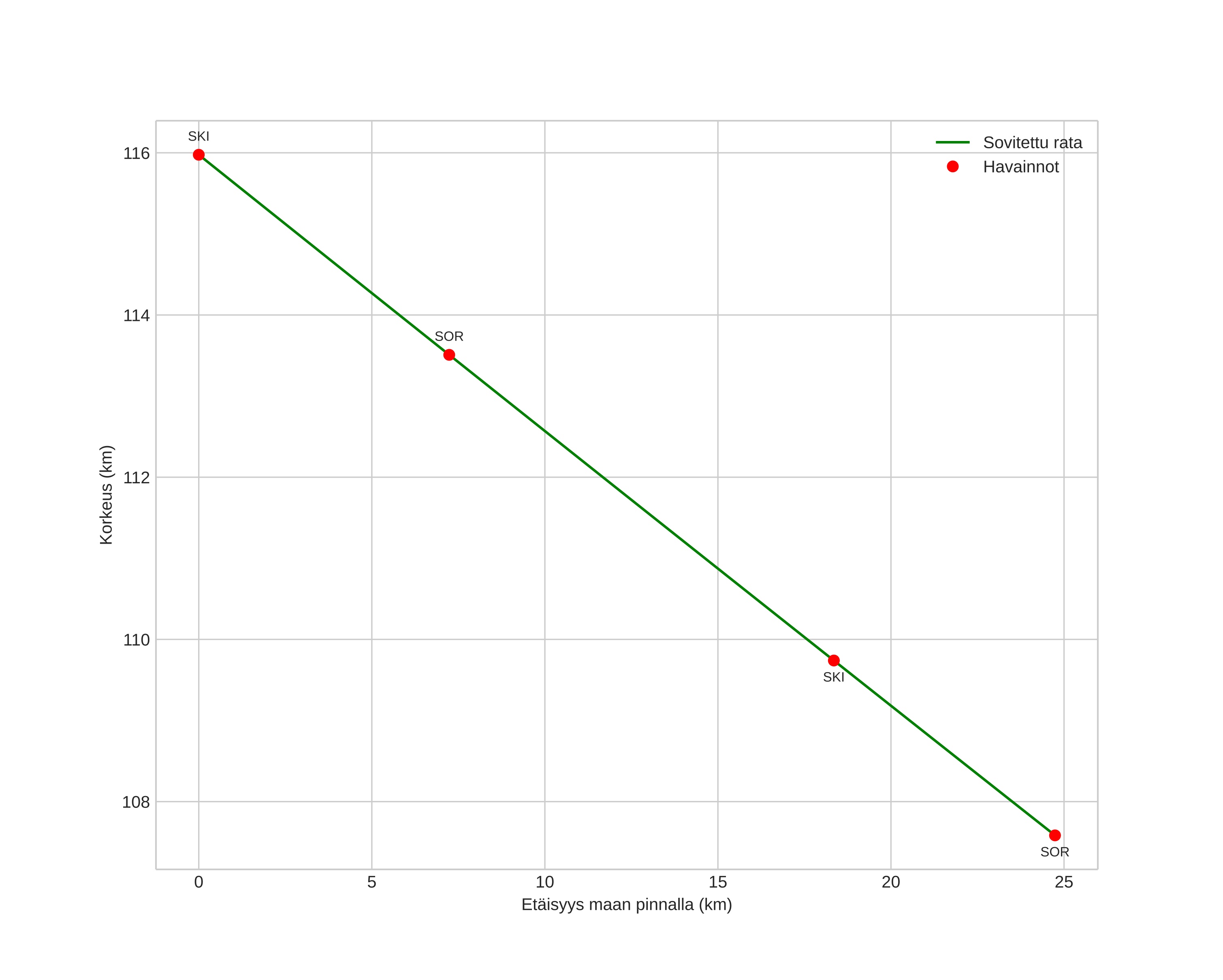
height profile
Meteorin ilmakehärata:
Alkukorkeus: 116,0 km
Loppukorkeus: 107,6 km
Alkupiste: 69,420N 21,303E
Loppupiste: 69,270N 20,838E
Suunta: 227,6°
Kallistuskulma: 18,8°
Tulonopeus: 72,3 km/s
Radiantin R,A,: 10:41 (160,3°)
Radiantin Dekl,: 31,4°
Meteoriparvi: Sporadinen
Meteoroidin rataelementit:
Perihelietäisyys: 0,985 AU
Eksentrisyys: 1,222
Inklinaatio: 144,4°
Nousevan solmun pituus: 241,5°
Perihelin argumentti: 185,8°
Keskianomalia: -0,4°
Epookki: 2025 NOV 23 20:45:49
orbit plot

Ei-interaktiivinen kuvaaja | Interaktiivinen kuvaaja

position vs time
speed and acceleration

Skibotn (SKI) cam7


gnomonic
Videot:
• Gnomoninen
• Gnomoninen koordinaateilla
• Alkuperäinen
• Alkuperäinen koordinaateilla
Kuvat:
• Gnomoninen
• Gnomoninen koordinaateilla
• Alkuperäinen
• Alkuperäinen koordinaateilla
Tekstitiedostot:
• Havaintoraportti
• Observaatio
• Koordinaatit
• Loki
Kirkkaus

Sorreisa (SOR) cam2


gnomonic
Videot:
• Gnomoninen
• Gnomoninen koordinaateilla
• Alkuperäinen
• Alkuperäinen koordinaateilla
Kuvat:
• Gnomoninen
• Gnomoninen koordinaateilla
• Alkuperäinen
• Alkuperäinen koordinaateilla
Tekstitiedostot:
• Havaintoraportti
• Observaatio
• Koordinaatit
• Loki
Kirkkaus