🇳🇴 🇬🇧 🇩🇪 🇨🇿 🇫🇮

Meteor over Roa 2025-11-24 00:35:34 UTC

KML-fil  |  Interaktivt kart

Kartet viser peilingene for meteoren. De lysere linjene viser retningene fra observasjonsstedene for meteorens tilsynekomst, og de mørkere linjene viser hvor den sist kunne sees. Den blå pila viser meteorens synlige ferd.

static map
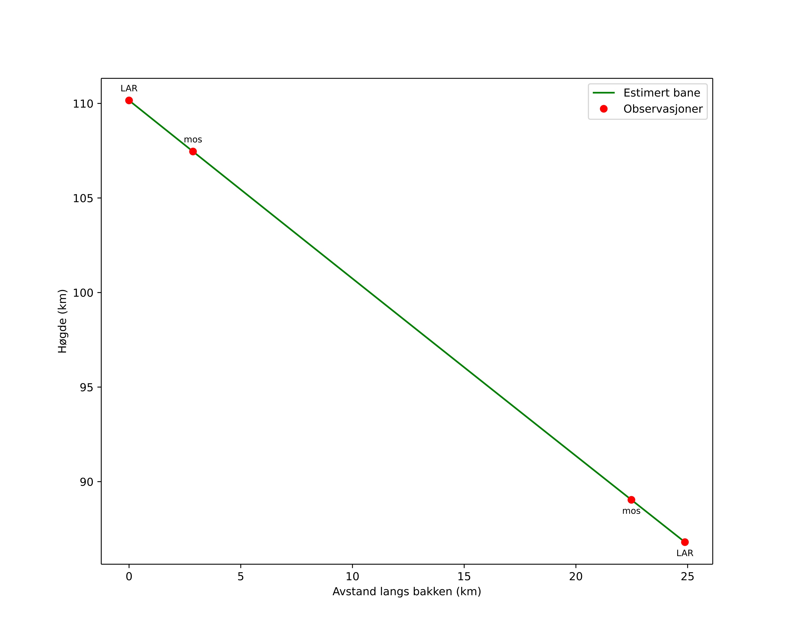
height profile
Meteorens atmosfæriske bane:
Starthøgde: 110,2 km
Slutthøgde: 86,8 km
Startposisjon: 60,164N 10,973E
Sluttposisjon: 60,210N 10,533E
Retning: 282,1°
Fallvinkel: 43,2°
Inngangshastighet: 69,8 km/s
Radiantens rektascensjon: 09:15 (139,0°)
Radiantens deklinasjon: 31,1°
Meteorsverm: sporadisk
Meteoroidens baneelement:
Perihelavstand: 0,721 AU
Eksentrisitet: 1,061
Inklinasjon: 152,1°
Knutelengde: 241,6°
Perihelargument: 241,6°
Midlere anomali: -0,8°
Epoke: 2025 NOV 24 00:35:34
orbit plot

Ikke-interaktivt plott | Interaktivt plott

position vs time
speed and acceleration

Larvik (LAR) cam1


gnomonic
Videoer
• Gnomonisk
• Gnomonisk med koordinater
• Original
• Original med koordinater
Bilder
• Gnomonisk
• Gnomonisk med koordinater
• Original
• Original med koordinater
Tekstfiler
• Deteksjon
• Observasjon
• Koordinater
• Logg
Lysstyrke

Moss (mos) cam6


gnomonic
Videoer
• Gnomonisk
• Gnomonisk med koordinater
• Original
• Original med koordinater
Bilder
• Gnomonisk
• Gnomonisk med koordinater
• Original
• Original med koordinater
Tekstfiler
• Deteksjon
• Observasjon
• Koordinater
• Logg
Lysstyrke