🇳🇴 🇬🇧 🇩🇪 🇨🇿 🇫🇮

Meteor Roan yllä 2025-11-24 00:35:34 UTC

KML-tiedosto  |  Interaktiivinen kartta

Kartta näyttää meteorin suuntahavainnot. Vaaleammat viivat näyttävät suunnat havaintoasemilta meteorin ilmestyessä, ja tummemmat viivat näyttävät, missä se viimeksi nähtiin. Sininen nuoli näyttää meteorin näkyvän lennon.

static map
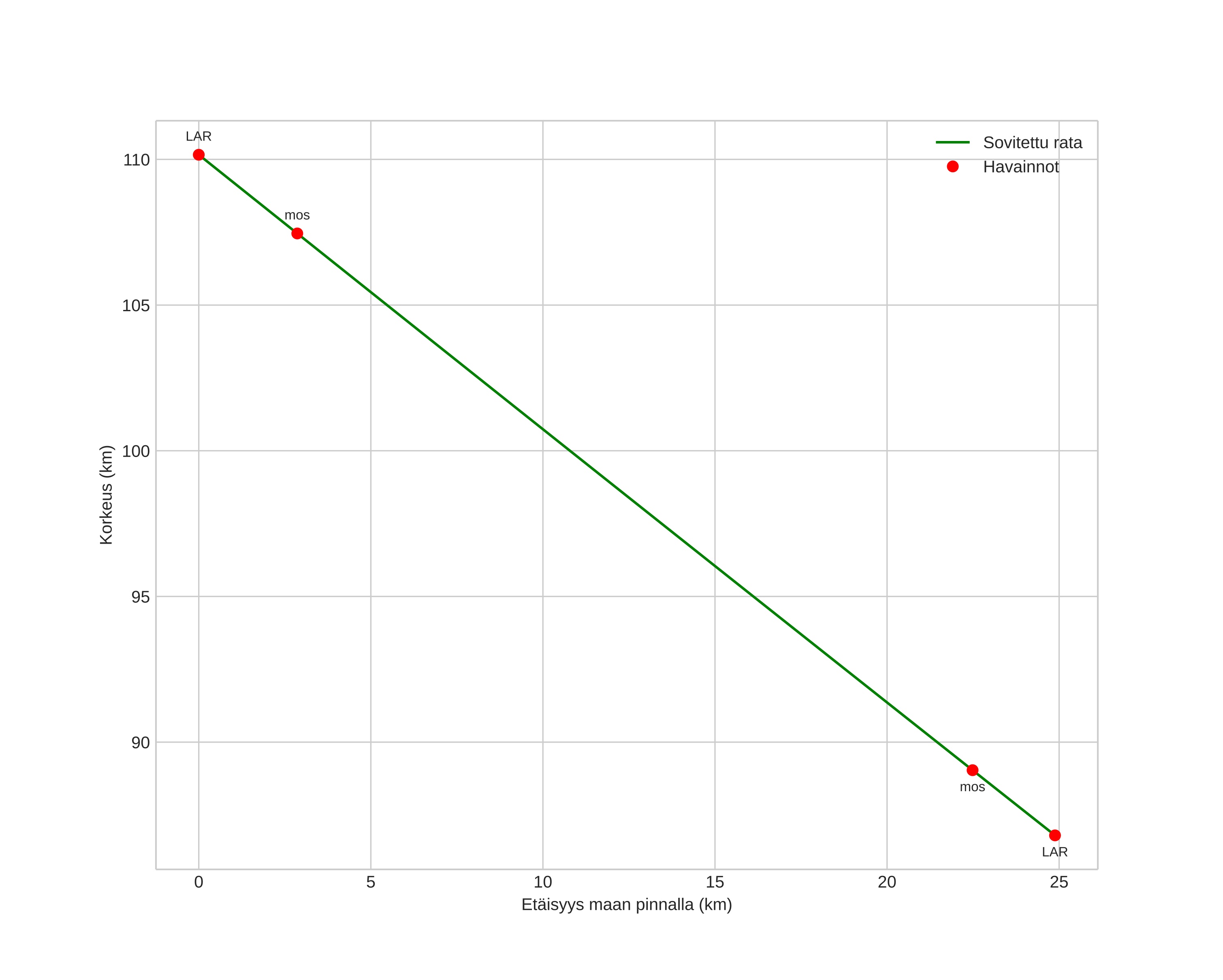
height profile
Meteorin ilmakehärata:
Alkukorkeus: 110,2 km
Loppukorkeus: 86,8 km
Alkupiste: 60,164N 10,973E
Loppupiste: 60,210N 10,533E
Suunta: 282,1°
Kallistuskulma: 43,2°
Tulonopeus: 69,8 km/s
Radiantin R,A,: 09:15 (139,0°)
Radiantin Dekl,: 31,1°
Meteoriparvi: Sporadinen
Meteoroidin rataelementit:
Perihelietäisyys: 0,721 AU
Eksentrisyys: 1,061
Inklinaatio: 152,1°
Nousevan solmun pituus: 241,6°
Perihelin argumentti: 241,6°
Keskianomalia: -0,8°
Epookki: 2025 NOV 24 00:35:34
orbit plot

Ei-interaktiivinen kuvaaja | Interaktiivinen kuvaaja

position vs time
speed and acceleration

Larvik (LAR) cam1


gnomonic
Videot:
• Gnomoninen
• Gnomoninen koordinaateilla
• Alkuperäinen
• Alkuperäinen koordinaateilla
Kuvat:
• Gnomoninen
• Gnomoninen koordinaateilla
• Alkuperäinen
• Alkuperäinen koordinaateilla
Tekstitiedostot:
• Havaintoraportti
• Observaatio
• Koordinaatit
• Loki
Kirkkaus

Moss (mos) cam6


gnomonic
Videot:
• Gnomoninen
• Gnomoninen koordinaateilla
• Alkuperäinen
• Alkuperäinen koordinaateilla
Kuvat:
• Gnomoninen
• Gnomoninen koordinaateilla
• Alkuperäinen
• Alkuperäinen koordinaateilla
Tekstitiedostot:
• Havaintoraportti
• Observaatio
• Koordinaatit
• Loki
Kirkkaus