🇳🇴 🇬🇧 🇩🇪 🇨🇿 🇫🇮

Meteor over Tennevoll 2025-11-24 01:19:17 UTC

KML-fil  |  Interaktivt kart

Kartet viser peilingene for meteoren. De lysere linjene viser retningene fra observasjonsstedene for meteorens tilsynekomst, og de mørkere linjene viser hvor den sist kunne sees. Den blå pila viser meteorens synlige ferd.

static map
height profile
wind profile
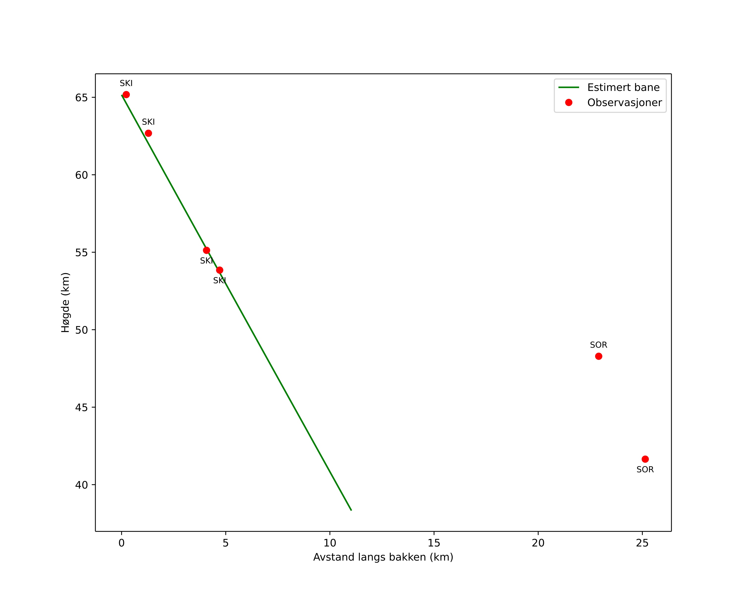
Meteorens atmosfæriske bane:
Starthøgde: 65,2 km
Slutthøgde: 38,3 km
Startposisjon: 68,645N 18,093E
Sluttposisjon: 68,596N 17,856E
Retning: 240,5°
Fallvinkel: 67,7°
Inngangshastighet: 27,7 km/s
Radiantens rektascensjon: 11:04 (166,0°)
Radiantens deklinasjon: 68,3°
Meteorsverm: sporadisk
Meteoroidens baneelement:
Perihelavstand: 0,609 AU
Eksentrisitet: 0,278
Inklinasjon: 51,1°
Knutelengde: 241,7°
Perihelargument: 319,6°
Midlere anomali: 244,8°
Epoke: 2025 NOV 24 01:19:17
orbit plot

Ikke-interaktivt plott | Interaktivt plott

position vs time
speed and acceleration

Skibotn (SKI) cam4


gnomonic
Videoer
• Gnomonisk
• Gnomonisk med koordinater
• Original
• Original med koordinater
Bilder
• Gnomonisk
• Gnomonisk med koordinater
• Original
• Original med koordinater
Tekstfiler
• Deteksjon
• Observasjon
• Koordinater
• Logg
Lysstyrke

Skibotn (SKI) cam5


gnomonic
Videoer
• Gnomonisk
• Gnomonisk med koordinater
• Original
• Original med koordinater
Bilder
• Gnomonisk
• Gnomonisk med koordinater
• Original
• Original med koordinater
Tekstfiler
• Deteksjon
• Observasjon
• Koordinater
• Logg
Lysstyrke

Sorreisa (SOR) cam3


gnomonic
Videoer
• Gnomonisk
• Gnomonisk med koordinater
• Original
• Original med koordinater
Bilder
• Gnomonisk
• Gnomonisk med koordinater
• Original
• Original med koordinater
Tekstfiler
• Deteksjon
• Observasjon
• Koordinater
• Logg
Lysstyrke