🇳🇴 🇬🇧 🇩🇪 🇨🇿 🇫🇮

Meteor Skagenin yllä 2025-11-24 23:30:21 UTC

KML-tiedosto  |  Interaktiivinen kartta

Kartta näyttää meteorin suuntahavainnot. Vaaleammat viivat näyttävät suunnat havaintoasemilta meteorin ilmestyessä, ja tummemmat viivat näyttävät, missä se viimeksi nähtiin. Sininen nuoli näyttää meteorin näkyvän lennon.

static map
height profile
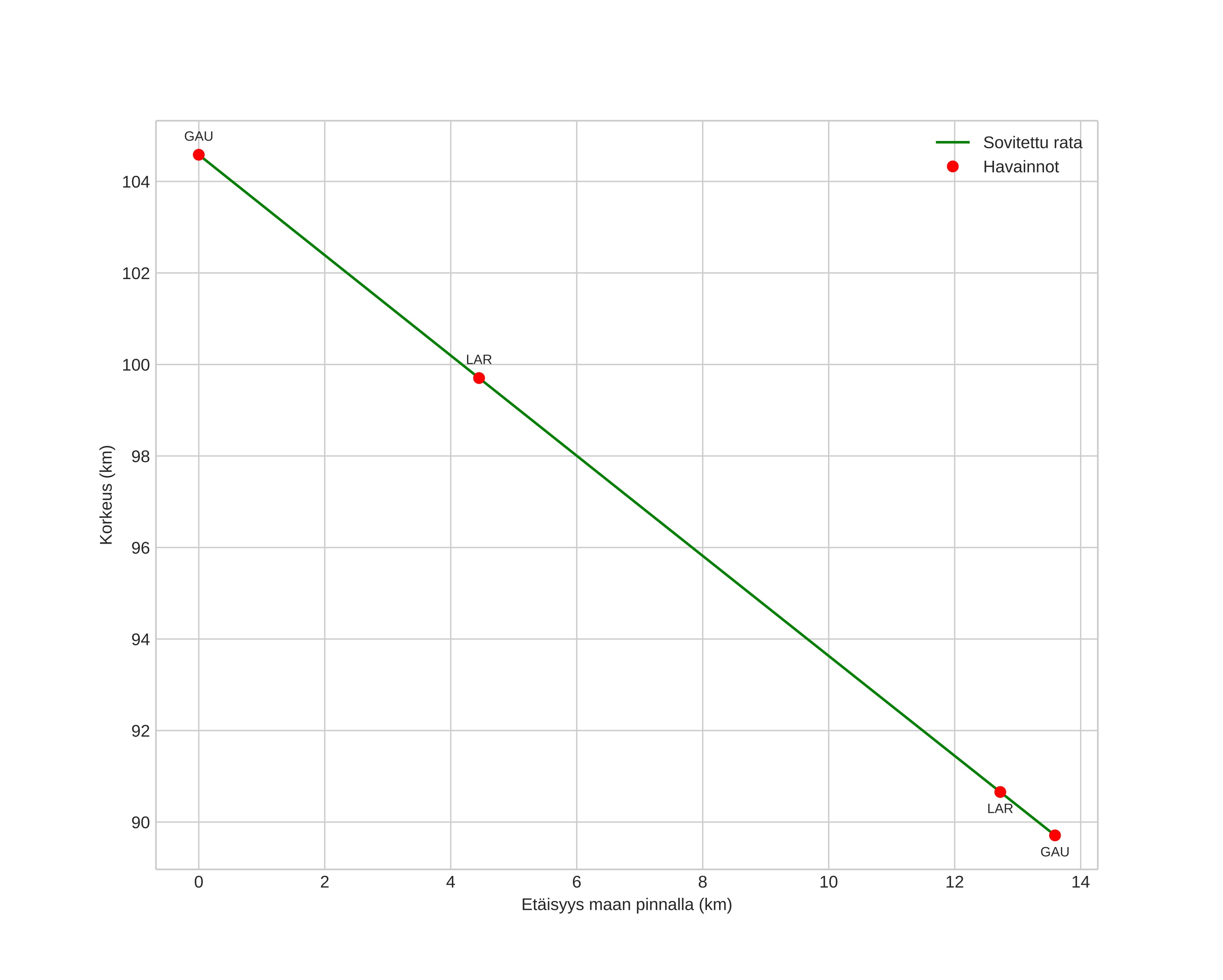
Meteorin ilmakehärata:
Alkukorkeus: 104,6 km
Loppukorkeus: 89,7 km
Alkupiste: 58,021N 11,113E
Loppupiste: 57,967N 10,906E
Suunta: 244,1°
Kallistuskulma: 47,6°
Tulonopeus: 65,8 km/s
Radiantin R,A,: 09:37 (144,3°)
Radiantin Dekl,: 51,5°
Meteoriparvi: Sporadinen
Meteoroidin rataelementit:
Perihelietäisyys: 0,794 AU
Eksentrisyys: 1,365
Inklinaatio: 116,0°
Nousevan solmun pituus: 242,6°
Perihelin argumentti: 228,7°
Keskianomalia: -8,1°
Epookki: 2025 NOV 24 23:30:21
orbit plot

Ei-interaktiivinen kuvaaja | Interaktiivinen kuvaaja

position vs time
speed and acceleration

Gaustatoppen (GAU) cam3


gnomonic
Videot:
• Gnomoninen
• Gnomoninen koordinaateilla
• Alkuperäinen
• Alkuperäinen koordinaateilla
Kuvat:
• Gnomoninen
• Gnomoninen koordinaateilla
• Alkuperäinen
• Alkuperäinen koordinaateilla
Tekstitiedostot:
• Havaintoraportti
• Observaatio
• Koordinaatit
• Loki
Kirkkaus

Larvik (LAR) cam3


gnomonic
Videot:
• Gnomoninen
• Gnomoninen koordinaateilla
• Alkuperäinen
• Alkuperäinen koordinaateilla
Kuvat:
• Gnomoninen
• Gnomoninen koordinaateilla
• Alkuperäinen
• Alkuperäinen koordinaateilla
Tekstitiedostot:
• Havaintoraportti
• Observaatio
• Koordinaatit
• Loki
Kirkkaus