🇳🇴 🇬🇧 🇩🇪 🇨🇿 🇫🇮

Meteor über Kongsvinger 2025-11-25 01:24:27 UTC

KML-Datei  |  Interaktive Karte

Die Karte zeigt die Peilungen für den Meteor. Die helleren Linien zeigen die Richtungen von den Beobachtungsorten beim Erscheinen des Meteors, und die dunkleren Linien, wo er zuletzt gesehen wurde. Der blaue Pfeil zeigt die sichtbare Bahn des Meteors.

static map
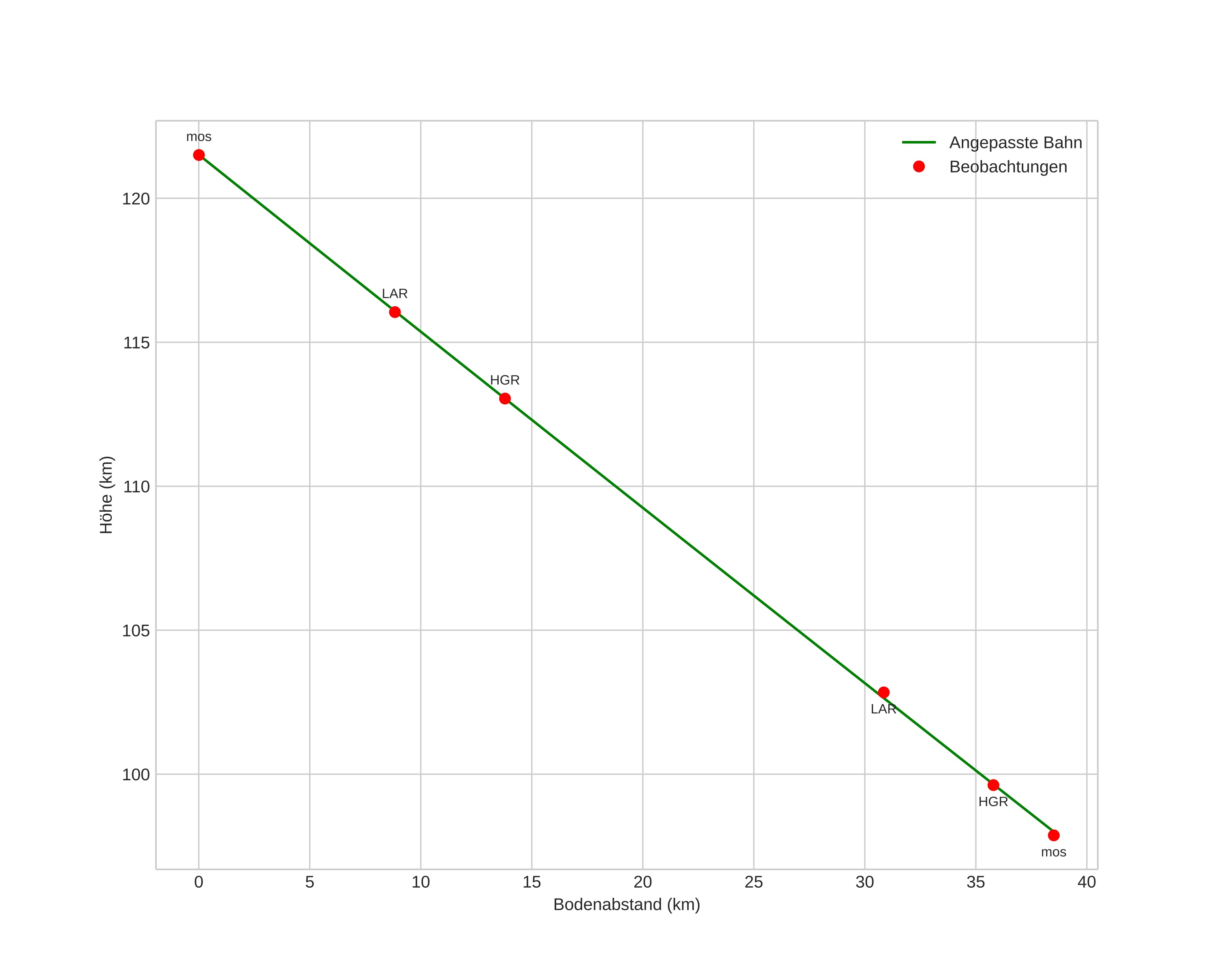
height profile
Atmosphärische Bahn des Meteors:
Anfangshöhe: 121,5 km
Endhöhe: 98,0 km
Startposition: 59,999N 12,644E
Endposition: 60,094N 11,977E
Richtung: 286,3°
Neigungswinkel: 31,4°
Eintrittsgeschwindigkeit: 73,0 km/s
Rektaszension des Radianten: 10:31 (157,9°)
Deklination des Radianten: 19,1°
Meteorstrom: Leoniden
Bahnelemente des Meteoroiden:
Periheldistanz: 0,987 AU
Exzentrizität: 1,005
Inklination: 164,3°
Länge des aufsteigenden Knotens: 242,7°
Argument des Perihels: 181,6°
Mittlere Anomalie: -0,0°
Epoche: 2025 NOV 25 01:24:27
orbit plot

Nicht-interaktives Diagramm | Interaktives Diagramm

position vs time
speed and acceleration

Hagar (HGR) cam4


gnomonic
Videos
• Gnomonisch
• Gnomonisch mit Koordinaten
• Original
• Original mit Koordinaten
Bilder
• Gnomonisch
• Gnomonisch mit Koordinaten
• Original
• Original mit Koordinaten
Textdateien
• Erkennung
• Beobachtung
• Koordinaten
• Protokoll
Helligkeit

Larvik (LAR) cam2


gnomonic
Videos
• Gnomonisch
• Gnomonisch mit Koordinaten
• Original
• Original mit Koordinaten
Bilder
• Gnomonisch
• Gnomonisch mit Koordinaten
• Original
• Original mit Koordinaten
Textdateien
• Erkennung
• Beobachtung
• Koordinaten
• Protokoll
Helligkeit

Moss (mos) cam2


gnomonic
Videos
• Gnomonisch
• Gnomonisch mit Koordinaten
• Original
• Original mit Koordinaten
Bilder
• Gnomonisch
• Gnomonisch mit Koordinaten
• Original
• Original mit Koordinaten
Textdateien
• Erkennung
• Beobachtung
• Koordinaten
• Protokoll
Helligkeit