🇳🇴 🇬🇧 🇩🇪 🇨🇿 🇫🇮

Meteor Bederin yllä 2025-11-25 01:40:53 UTC

KML-tiedosto  |  Interaktiivinen kartta

Kartta näyttää meteorin suuntahavainnot. Vaaleammat viivat näyttävät suunnat havaintoasemilta meteorin ilmestyessä, ja tummemmat viivat näyttävät, missä se viimeksi nähtiin. Sininen nuoli näyttää meteorin näkyvän lennon.

static map
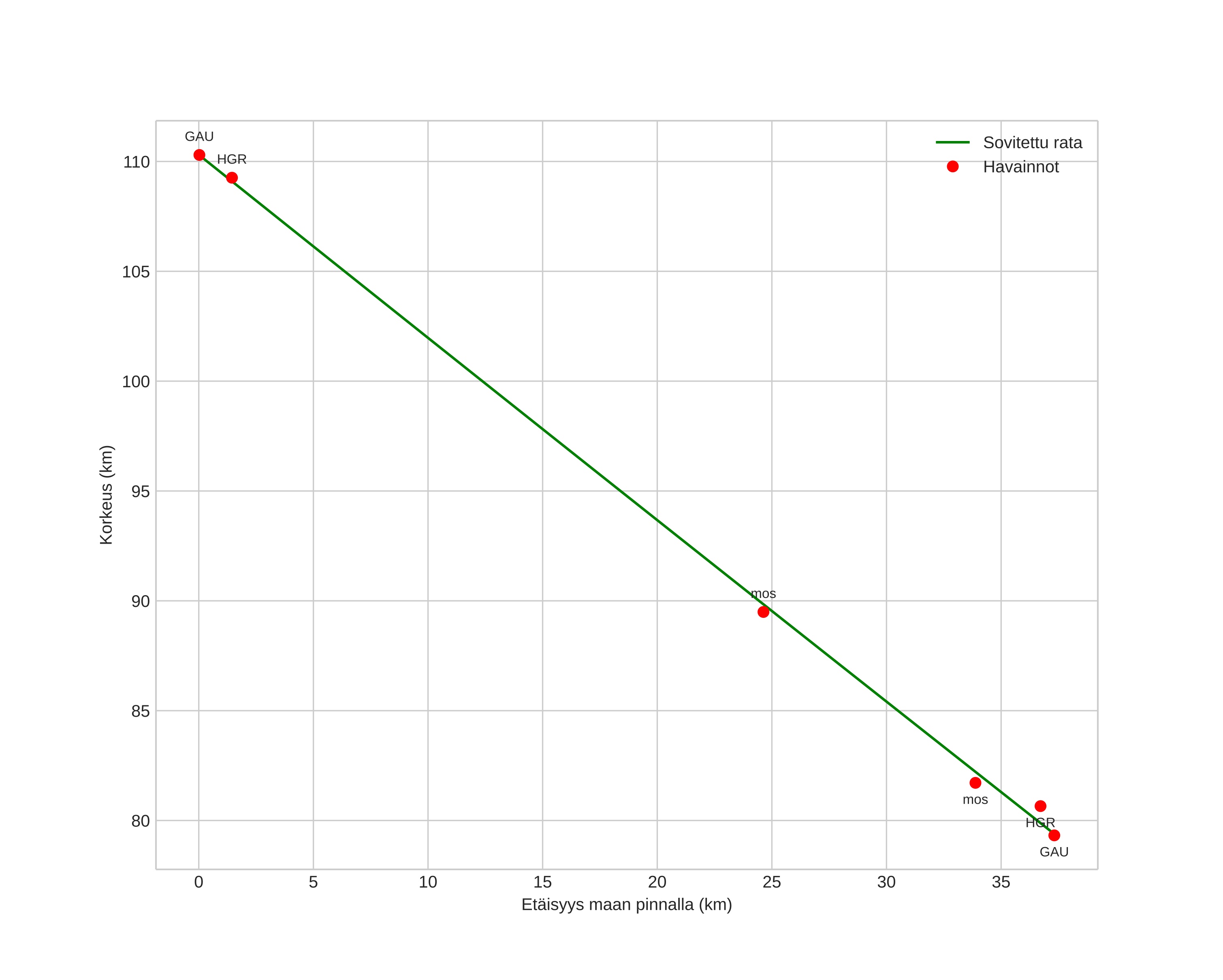
height profile
Meteorin ilmakehärata:
Alkukorkeus: 110,3 km
Loppukorkeus: 79,4 km
Alkupiste: 55,732N 10,684E
Loppupiste: 56,037N 10,432E
Suunta: 335,2°
Kallistuskulma: 39,6°
Tulonopeus: 58,4 km/s
Radiantin R,A,: 07:54 (118,6°)
Radiantin Dekl,: 7,2°
Meteoriparvi: alpha-monocerotidene
Meteoroidin rataelementit:
Perihelietäisyys: 0,258 AU
Eksentrisyys: 0,886
Inklinaatio: 140,8°
Nousevan solmun pituus: 62,7°
Perihelin argumentti: 124,9°
Keskianomalia: 348,7°
Epookki: 2025 NOV 25 01:40:53
orbit plot

Ei-interaktiivinen kuvaaja | Interaktiivinen kuvaaja

position vs time
speed and acceleration

Gaustatoppen (GAU) cam3


gnomonic
Videot:
• Gnomoninen
• Gnomoninen koordinaateilla
• Alkuperäinen
• Alkuperäinen koordinaateilla
Kuvat:
• Gnomoninen
• Gnomoninen koordinaateilla
• Alkuperäinen
• Alkuperäinen koordinaateilla
Tekstitiedostot:
• Havaintoraportti
• Observaatio
• Koordinaatit
• Loki
Kirkkaus

Hagar (HGR) cam4


gnomonic
Videot:
• Gnomoninen
• Gnomoninen koordinaateilla
• Alkuperäinen
• Alkuperäinen koordinaateilla
Kuvat:
• Gnomoninen
• Gnomoninen koordinaateilla
• Alkuperäinen
• Alkuperäinen koordinaateilla
Tekstitiedostot:
• Havaintoraportti
• Observaatio
• Koordinaatit
• Loki
Kirkkaus

Moss (mos) cam4


gnomonic
Videot:
• Gnomoninen
• Gnomoninen koordinaateilla
• Alkuperäinen
• Alkuperäinen koordinaateilla
Kuvat:
• Gnomoninen
• Gnomoninen koordinaateilla
• Alkuperäinen
• Alkuperäinen koordinaateilla
Tekstitiedostot:
• Havaintoraportti
• Observaatio
• Koordinaatit
• Loki
Kirkkaus