🇳🇴 🇬🇧 🇩🇪 🇨🇿 🇫🇮

Meteor over Skagen 2025-11-25 02:09:07 UTC

KML-fil  |  Interaktivt kart

Kartet viser peilingene for meteoren. De lysere linjene viser retningene fra observasjonsstedene for meteorens tilsynekomst, og de mørkere linjene viser hvor den sist kunne sees. Den blå pila viser meteorens synlige ferd.

static map
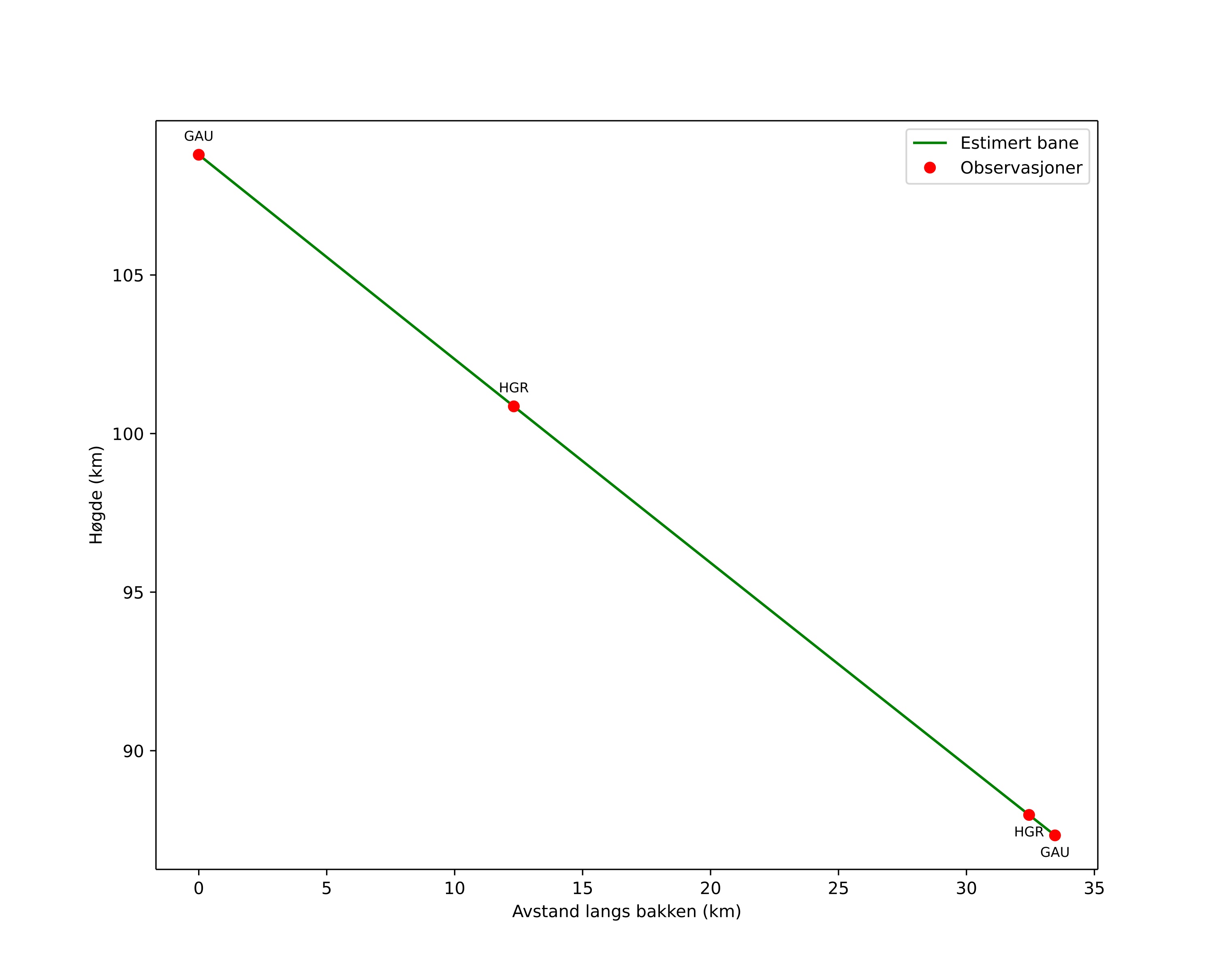
height profile
Meteorens atmosfæriske bane:
Starthøgde: 108,8 km
Slutthøgde: 87,3 km
Startposisjon: 57,937N 10,809E
Sluttposisjon: 58,228N 10,668E
Retning: 345,7°
Fallvinkel: 32,7°
Inngangshastighet: 62,6 km/s
Radiantens rektascensjon: 07:55 (118,8°)
Radiantens deklinasjon: 1,0°
Meteorsverm: alpha-monocerotidene
Meteoroidens baneelement:
Perihelavstand: 0,436 AU
Eksentrisitet: 0,978
Inklinasjon: 133,0°
Knutelengde: 62,7°
Perihelargument: 97,4°
Midlere anomali: 359,6°
Epoke: 2025 NOV 25 02:09:07
orbit plot

Ikke-interaktivt plott | Interaktivt plott

position vs time
speed and acceleration

Gaustatoppen (GAU) cam3


gnomonic
Videoer
• Gnomonisk
• Gnomonisk med koordinater
• Original
• Original med koordinater
Bilder
• Gnomonisk
• Gnomonisk med koordinater
• Original
• Original med koordinater
Tekstfiler
• Deteksjon
• Observasjon
• Koordinater
• Logg
Lysstyrke

Hagar (HGR) cam5


gnomonic
Videoer
• Gnomonisk
• Gnomonisk med koordinater
• Original
• Original med koordinater
Bilder
• Gnomonisk
• Gnomonisk med koordinater
• Original
• Original med koordinater
Tekstfiler
• Deteksjon
• Observasjon
• Koordinater
• Logg
Lysstyrke