🇳🇴 🇬🇧 🇩🇪 🇨🇿 🇫🇮

Meteor, poloha: Skagen 2025-11-25 02:09:07 UTC

Soubor KML  |  InteraktivnĂ­ mapa

Mapa zobrazuje dráhy meteoru. Světlejší čáry ukazují směry od pozorovacích stanic při objevení se meteoru a tmavší čáry, kde byl naposledy viděn. Modrá šipka značí viditelnou dráhu meteoru.

static map
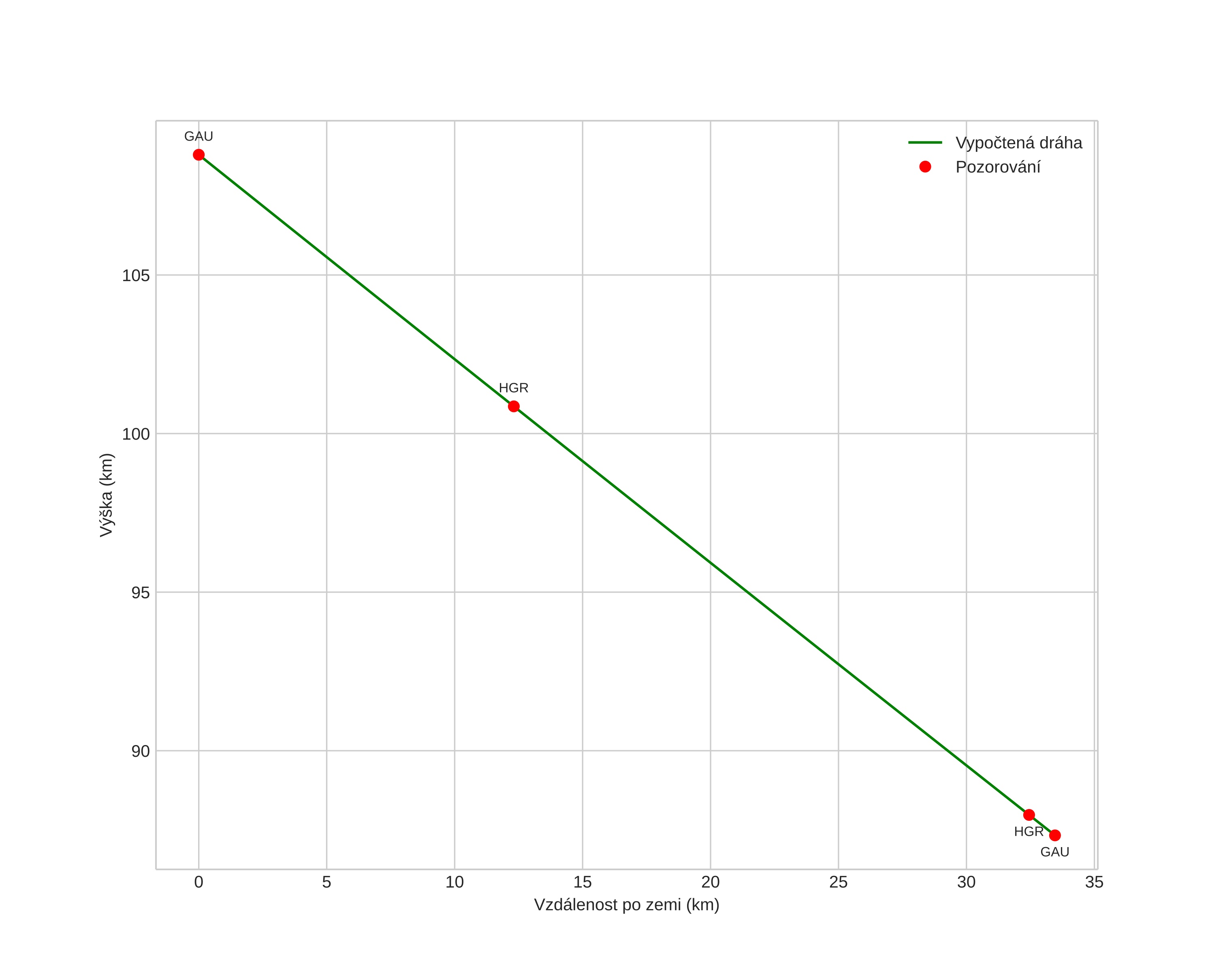
height profile
Atmosférická dráha meteoru:
Počáteční výška: 108,8 km
Konečná výška: 87,3 km
Počáteční poloha: 57,937N 10,809E
Konečná poloha: 58,228N 10,668E
Směr: 345,7°
Sklon: 32,7°
VstupnĂ­ rychlost: 62,6 km/s
Rektascenze radiantu: 07:55 (118,8°)
Deklinace radiantu: 1,0°
MeteorickĂ˝ roj: alpha-monocerotidene
Elementy dráhy meteoroidu:
Vzdálenost v periheliu: 0,436 AU
Excentricita: 0,978
Sklon dráhy: 133,0°
Délka vzestupného uzlu: 62,7°
Argument perihelia: 97,4°
Střední anomálie: 359,6°
Epocha: 2025 NOV 25 02:09:07
orbit plot

NeinteraktivnĂ­ graf | InteraktivnĂ­ graf

position vs time
speed and acceleration

Gaustatoppen (GAU) cam3


gnomonic
Videa
• Gnomonická
• Gnomonická se souřadnicemi
• Původní
• Původní se souřadnicemi
Obrázky
• Gnomonická
• Gnomonická se souřadnicemi
• Původní
• Původní se souřadnicemi
Textové soubory
• Detekce
• Pozorování
• Souřadnice
• Protokol
Jasnost

Hagar (HGR) cam5


gnomonic
Videa
• Gnomonická
• Gnomonická se souřadnicemi
• Původní
• Původní se souřadnicemi
Obrázky
• Gnomonická
• Gnomonická se souřadnicemi
• Původní
• Původní se souřadnicemi
Textové soubory
• Detekce
• Pozorování
• Souřadnice
• Protokol
Jasnost