🇳🇴 🇬🇧 🇩🇪 🇨🇿 🇫🇮

Meteor over Hagfors 2025-11-25 03:13:57 UTC

KML-fil  |  Interaktivt kart

Kartet viser peilingene for meteoren. De lysere linjene viser retningene fra observasjonsstedene for meteorens tilsynekomst, og de mørkere linjene viser hvor den sist kunne sees. Den blå pila viser meteorens synlige ferd.

static map
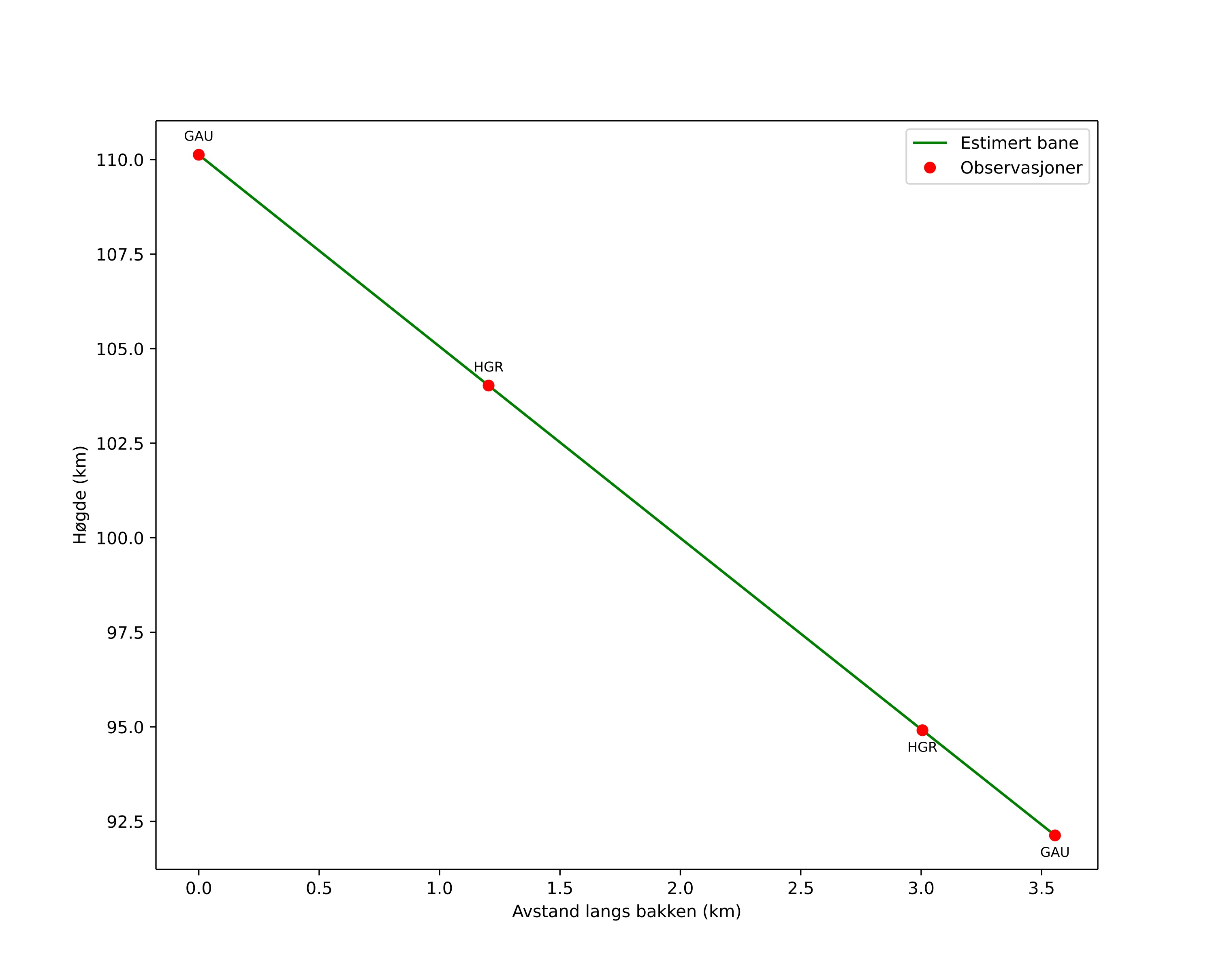
height profile
Meteorens atmosfæriske bane:
Starthøgde: 110,1 km
Slutthøgde: 92,1 km
Startposisjon: 59,868N 13,760E
Sluttposisjon: 59,900N 13,755E
Retning: 355,0°
Fallvinkel: 78,8°
Inngangshastighet: 55,4 km/s
Radiantens rektascensjon: 08:28 (127,1°)
Radiantens deklinasjon: 48,5°
Meteorsverm: sporadisk
Meteoroidens baneelement:
Perihelavstand: 0,437 AU
Eksentrisitet: 0,871
Inklinasjon: 108,2°
Knutelengde: 242,7°
Perihelargument: 281,4°
Midlere anomali: 353,5°
Epoke: 2025 NOV 25 03:13:57
orbit plot

Ikke-interaktivt plott | Interaktivt plott

position vs time
speed and acceleration

Gaustatoppen (GAU) cam2


gnomonic
Videoer
• Gnomonisk
• Gnomonisk med koordinater
• Original
• Original med koordinater
Bilder
• Gnomonisk
• Gnomonisk med koordinater
• Original
• Original med koordinater
Tekstfiler
• Deteksjon
• Observasjon
• Koordinater
• Logg
Lysstyrke

Hagar (HGR) cam4


gnomonic
Videoer
• Gnomonisk
• Gnomonisk med koordinater
• Original
• Original med koordinater
Bilder
• Gnomonisk
• Gnomonisk med koordinater
• Original
• Original med koordinater
Tekstfiler
• Deteksjon
• Observasjon
• Koordinater
• Logg
Lysstyrke