🇳🇴 🇬🇧 🇩🇪 🇨🇿 🇫🇮

Meteor over Innbygda 2025-11-25 17:08:22 UTC

KML-fil  |  Interaktivt kart

Kartet viser peilingene for meteoren. De lysere linjene viser retningene fra observasjonsstedene for meteorens tilsynekomst, og de mørkere linjene viser hvor den sist kunne sees. Den blå pila viser meteorens synlige ferd.

static map
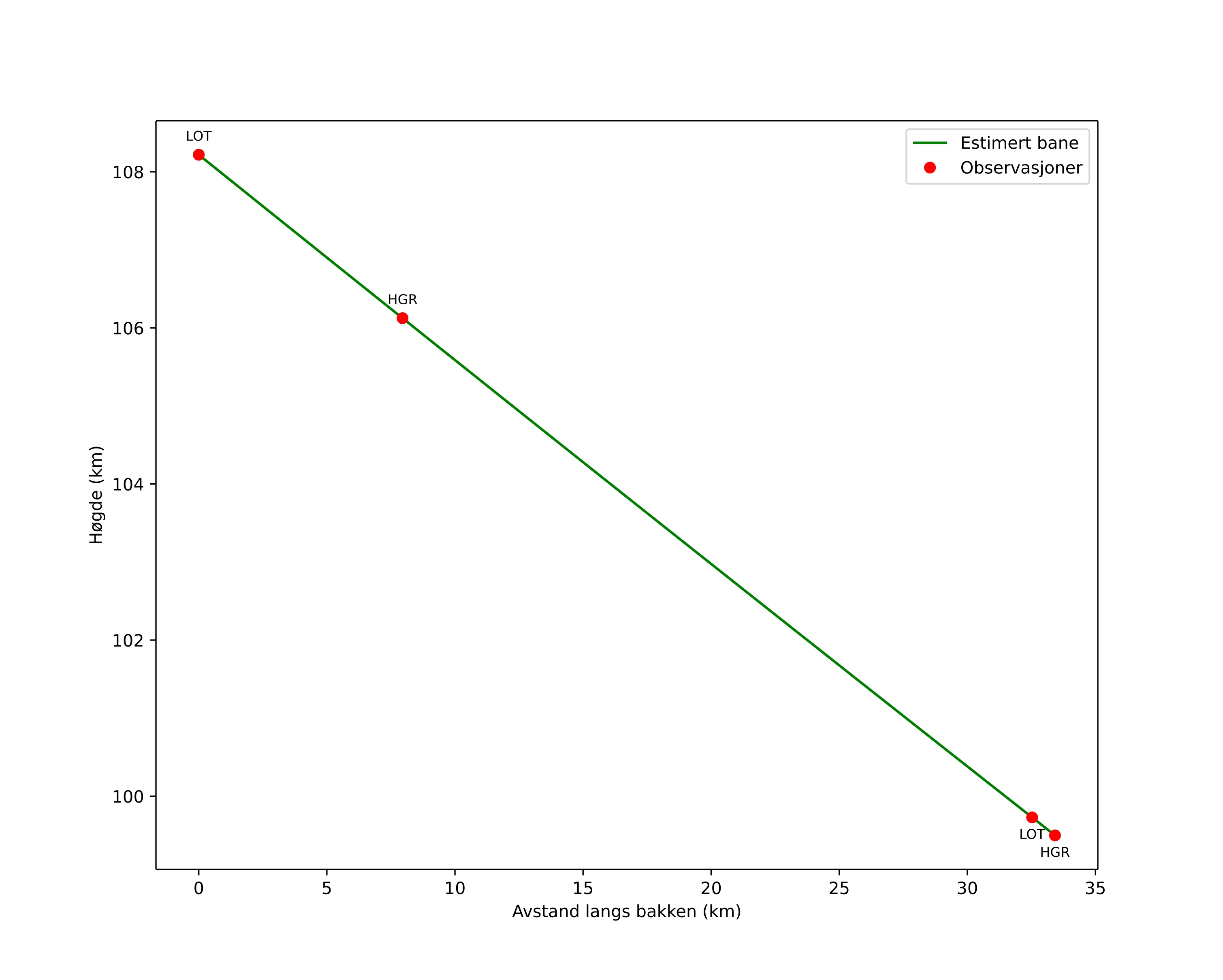
height profile
Meteorens atmosfæriske bane:
Starthøgde: 108,2 km
Slutthøgde: 99,5 km
Startposisjon: 61,335N 13,072E
Sluttposisjon: 61,050N 12,876E
Retning: 198,4°
Fallvinkel: 14,6°
Inngangshastighet: 63,0 km/s
Radiantens rektascensjon: 08:43 (130,9°)
Radiantens deklinasjon: 40,9°
Meteorsverm: sporadisk
Meteoroidens baneelement:
Perihelavstand: 0,492 AU
Eksentrisitet: 0,999
Inklinasjon: 129,5°
Knutelengde: 243,3°
Perihelargument: 270,2°
Midlere anomali: 360,0°
Epoke: 2025 NOV 25 17:08:22
orbit plot

Ikke-interaktivt plott | Interaktivt plott

position vs time
speed and acceleration

Hagar (HGR) cam3


gnomonic
Videoer
• Gnomonisk
• Gnomonisk med koordinater
• Original
• Original med koordinater
Bilder
• Gnomonisk
• Gnomonisk med koordinater
• Original
• Original med koordinater
Tekstfiler
• Deteksjon
• Observasjon
• Koordinater
• Logg
Lysstyrke

Loten (LOT) cam2


gnomonic
Videoer
• Gnomonisk
• Gnomonisk med koordinater
• Original
• Original med koordinater
Bilder
• Gnomonisk
• Gnomonisk med koordinater
• Original
• Original med koordinater
Tekstfiler
• Deteksjon
• Observasjon
• Koordinater
• Logg
Lysstyrke