🇳🇴 🇬🇧 🇩🇪 🇨🇿 🇫🇮

Meteor Renan yllä 2025-11-25 17:09:51 UTC

KML-tiedosto  |  Interaktiivinen kartta

Kartta näyttää meteorin suuntahavainnot. Vaaleammat viivat näyttävät suunnat havaintoasemilta meteorin ilmestyessä, ja tummemmat viivat näyttävät, missä se viimeksi nähtiin. Sininen nuoli näyttää meteorin näkyvän lennon.

static map
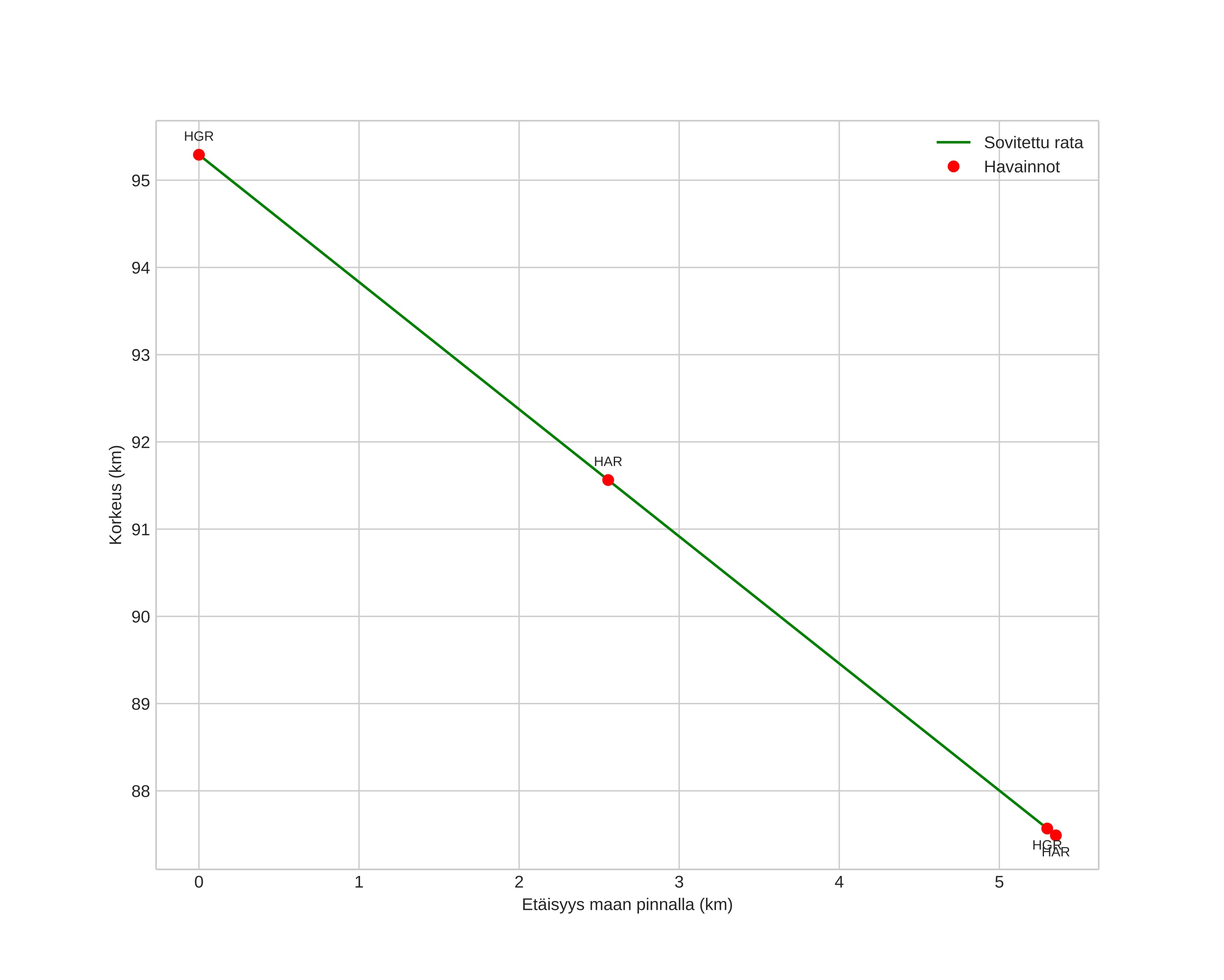
height profile
Meteorin ilmakehärata:
Alkukorkeus: 95,3 km
Loppukorkeus: 87,5 km
Alkupiste: 60,995N 11,338E
Loppupiste: 60,993N 11,437E
Suunta: 92,5°
Kallistuskulma: 55,5°
Tulonopeus: 16,4 km/s
Radiantin R,A,: 18:06 (271,6°)
Radiantin Dekl,: 42,6°
Meteoriparvi: Sporadinen
Meteoroidin rataelementit:
Perihelietäisyys: 0,962 AU
Eksentrisyys: 0,360
Inklinaatio: 19,0°
Nousevan solmun pituus: 243,3°
Perihelin argumentti: 154,7°
Keskianomalia: 11,3°
Epookki: 2025 NOV 25 17:09:51
orbit plot

Ei-interaktiivinen kuvaaja | Interaktiivinen kuvaaja

position vs time
speed and acceleration

Hagar (HGR) cam7


gnomonic
Videot:
• Gnomoninen
• Gnomoninen koordinaateilla
• Alkuperäinen
• Alkuperäinen koordinaateilla
Kuvat:
• Gnomoninen
• Gnomoninen koordinaateilla
• Alkuperäinen
• Alkuperäinen koordinaateilla
Tekstitiedostot:
• Havaintoraportti
• Observaatio
• Koordinaatit
• Loki
Kirkkaus

Harestua (HAR) cam6


gnomonic
Videot:
• Gnomoninen
• Gnomoninen koordinaateilla
• Alkuperäinen
• Alkuperäinen koordinaateilla
Kuvat:
• Gnomoninen
• Gnomoninen koordinaateilla
• Alkuperäinen
• Alkuperäinen koordinaateilla
Tekstitiedostot:
• Havaintoraportti
• Observaatio
• Koordinaatit
• Loki
Kirkkaus