🇳🇴 🇬🇧 🇩🇪 🇨🇿 🇫🇮

Meteor over Skagen 2025-11-25 17:42:16 UTC

KML-fil  |  Interaktivt kart

Kartet viser peilingene for meteoren. De lysere linjene viser retningene fra observasjonsstedene for meteorens tilsynekomst, og de mørkere linjene viser hvor den sist kunne sees. Den blå pila viser meteorens synlige ferd.

static map
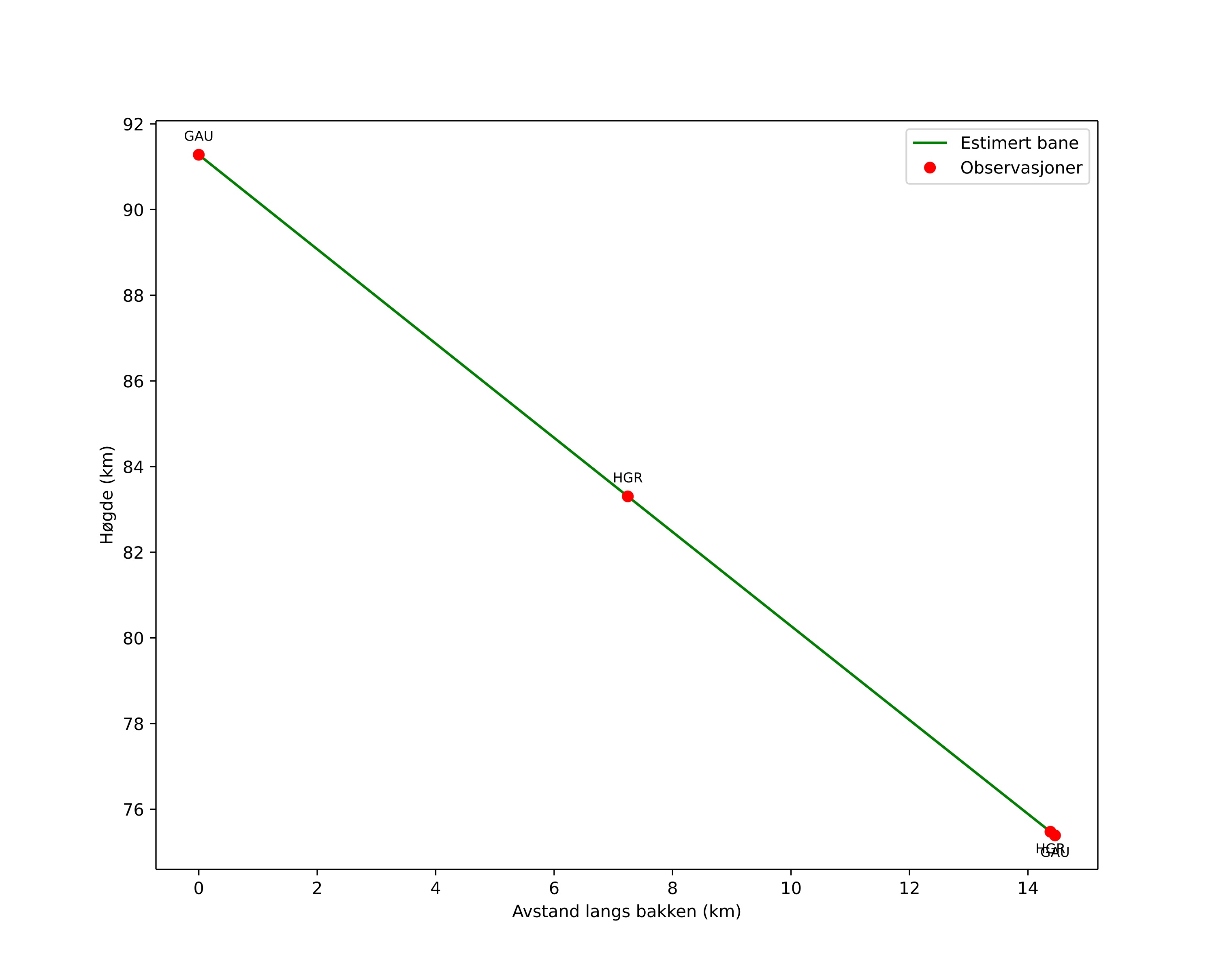
height profile
Meteorens atmosfæriske bane:
Starthøgde: 91,3 km
Slutthøgde: 75,4 km
Startposisjon: 57,822N 10,812E
Sluttposisjon: 57,693N 10,789E
Retning: 185,4°
Fallvinkel: 47,7°
Inngangshastighet: 44,9 km/s
Radiantens rektascensjon: 09:30 (142,6°)
Radiantens deklinasjon: 79,0°
Meteorsverm: sporadisk
Meteoroidens baneelement:
Perihelavstand: 0,845 AU
Eksentrisitet: 1,071
Inklinasjon: 68,5°
Knutelengde: 243,4°
Perihelargument: 223,7°
Midlere anomali: -0,6°
Epoke: 2025 NOV 25 17:42:16
orbit plot

Ikke-interaktivt plott | Interaktivt plott

position vs time
speed and acceleration

Gaustatoppen (GAU) cam3


gnomonic
Videoer
• Gnomonisk
• Gnomonisk med koordinater
• Original
• Original med koordinater
Bilder
• Gnomonisk
• Gnomonisk med koordinater
• Original
• Original med koordinater
Tekstfiler
• Deteksjon
• Observasjon
• Koordinater
• Logg
Lysstyrke

Hagar (HGR) cam5


gnomonic
Videoer
• Gnomonisk
• Gnomonisk med koordinater
• Original
• Original med koordinater
Bilder
• Gnomonisk
• Gnomonisk med koordinater
• Original
• Original med koordinater
Tekstfiler
• Deteksjon
• Observasjon
• Koordinater
• Logg
Lysstyrke