🇳🇴 🇬🇧 🇩🇪 🇨🇿 🇫🇮

Meteor over Torsby 2025-11-25 22:26:21 UTC

KML-fil  |  Interaktivt kart

Kartet viser peilingene for meteoren. De lysere linjene viser retningene fra observasjonsstedene for meteorens tilsynekomst, og de mørkere linjene viser hvor den sist kunne sees. Den blå pila viser meteorens synlige ferd.

static map
height profile
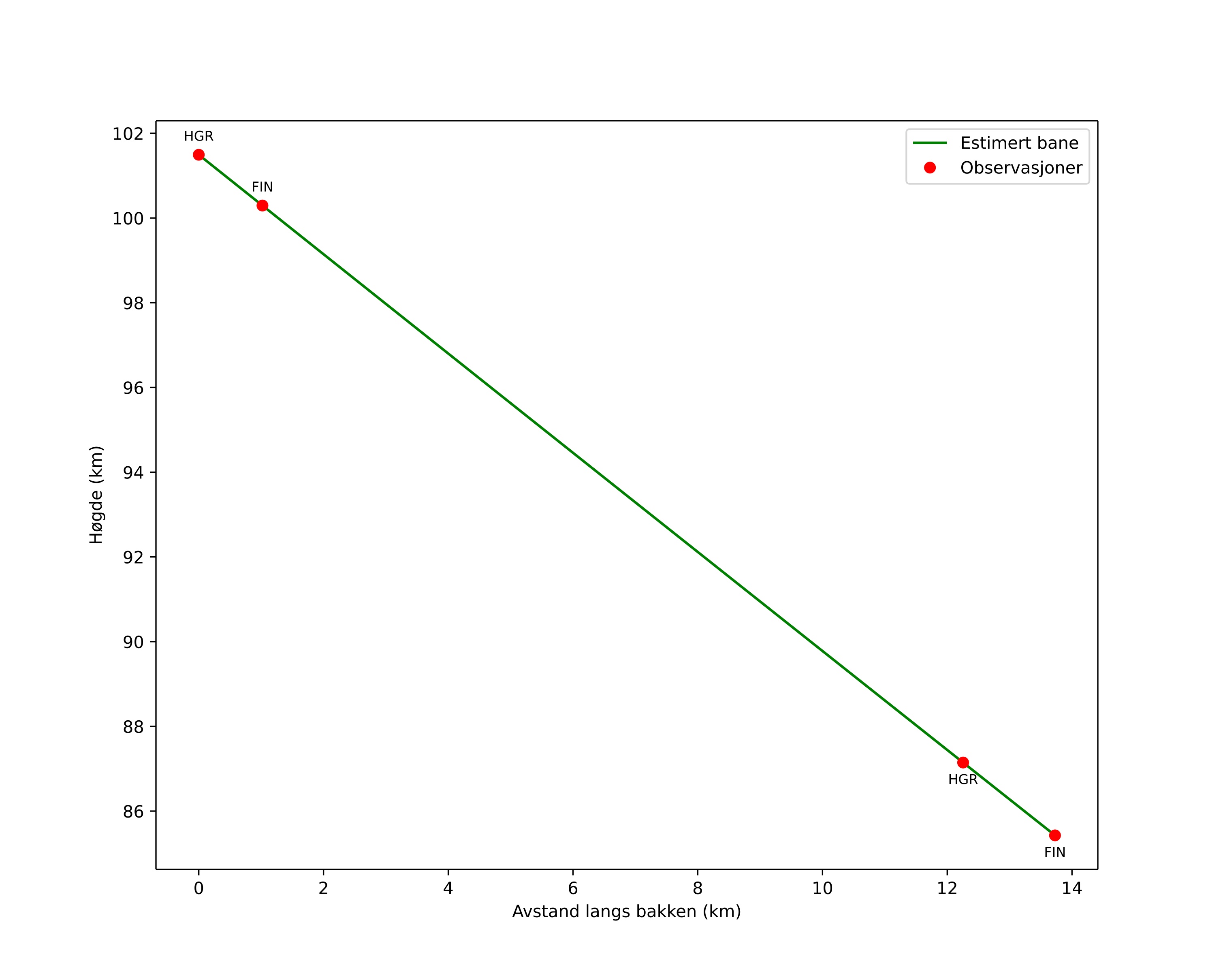
Meteorens atmosfæriske bane:
Starthøgde: 101,5 km
Slutthøgde: 85,4 km
Startposisjon: 60,511N 13,206E
Sluttposisjon: 60,594N 13,020E
Retning: 312,1°
Fallvinkel: 49,5°
Inngangshastighet: 42,4 km/s
Radiantens rektascensjon: 05:48 (87,0°)
Radiantens deklinasjon: 25,9°
Meteorsverm: sporadisk
Meteoroidens baneelement:
Perihelavstand: 0,107 AU
Eksentrisitet: 0,978
Inklinasjon: 7,5°
Knutelengde: 243,5°
Perihelargument: 323,6°
Midlere anomali: 356,9°
Epoke: 2025 NOV 25 22:26:21
orbit plot

Ikke-interaktivt plott | Interaktivt plott

position vs time
speed and acceleration

Finnskogen (FIN) cam7


gnomonic
Videoer
• Gnomonisk
• Gnomonisk med koordinater
• Original
• Original med koordinater
Bilder
• Gnomonisk
• Gnomonisk med koordinater
• Original
• Original med koordinater
Tekstfiler
• Deteksjon
• Observasjon
• Koordinater
• Logg
Lysstyrke

Hagar (HGR) cam3


gnomonic
Videoer
• Gnomonisk
• Gnomonisk med koordinater
• Original
• Original med koordinater
Bilder
• Gnomonisk
• Gnomonisk med koordinater
• Original
• Original med koordinater
Tekstfiler
• Deteksjon
• Observasjon
• Koordinater
• Logg
Lysstyrke