🇳🇴 🇬🇧 🇩🇪 🇨🇿 🇫🇮

Meteor, poloha: Hurdal 2025-11-28 21:57:11 UTC

Soubor KML  |  Interaktivní mapa

Mapa zobrazuje dráhy meteoru. Světlejší čáry ukazují směry od pozorovacích stanic při objevení se meteoru a tmavší čáry, kde byl naposledy viděn. Modrá šipka značí viditelnou dráhu meteoru.

static map
height profile
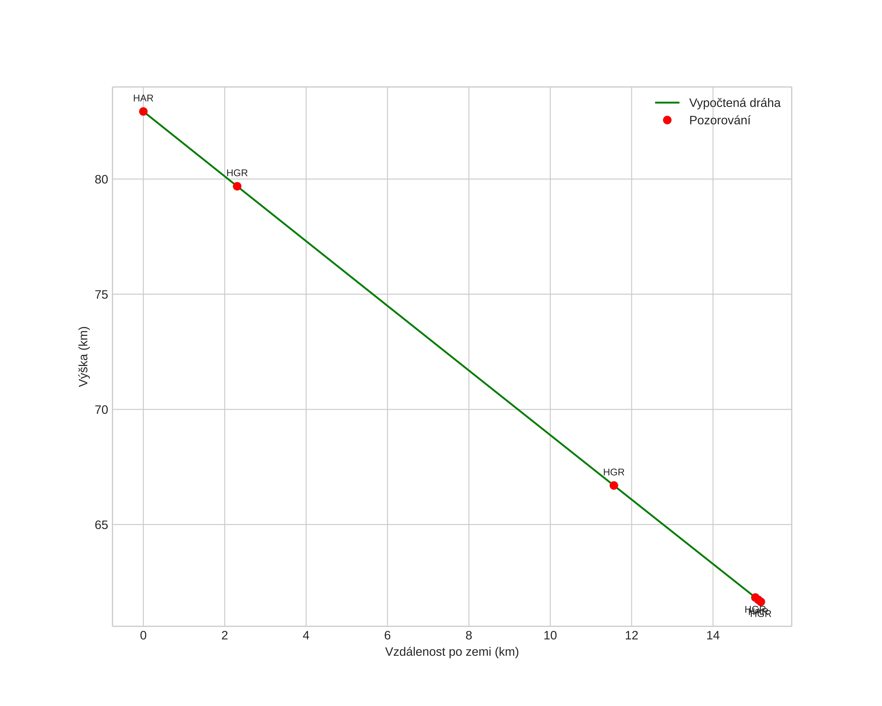
Atmosférická dráha meteoru:
Počáteční výška: 82,9 km
Konečná výška: 61,6 km
Počáteční poloha: 60,583N 10,802E
Konečná poloha: 60,567N 11,077E
Směr: 96,6°
Sklon: 54,5°
position vs time
speed and acceleration