🇳🇴 🇬🇧 🇩🇪 🇨🇿 🇫🇮

Meteor over Jämjö 2025-11-29 19:35:10 UTC

KML-fil  |  Interaktivt kart

Kartet viser peilingene for meteoren. De lysere linjene viser retningene fra observasjonsstedene for meteorens tilsynekomst, og de mørkere linjene viser hvor den sist kunne sees. Den blå pila viser meteorens synlige ferd.

static map
height profile
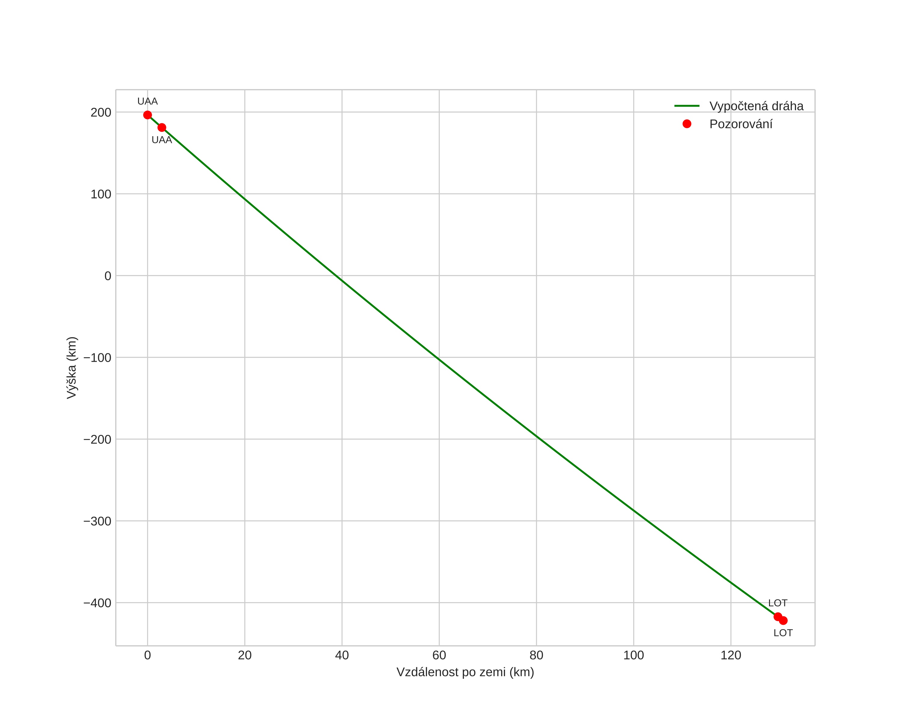
Meteorens atmosfæriske bane:
Starthøgde: 196,4 km
Slutthøgde: -421,9 km
Startposisjon: 56,846N 14,912E
Sluttposisjon: 55,897N 16,167E
Retning: 143,3°
Fallvinkel: 78,1°
Inngangshastighet: 54,2 km/s
Radiantens rektascensjon: 23:56 (359,1°)
Radiantens deklinasjon: 65,2°
Meteorsverm: sporadisk
Meteoroidens baneelement:
Perihelavstand: 0,890 AU
Eksentrisitet: 3,764
Inklinasjon: 45,5°
Knutelengde: 247,5°
Perihelargument: 208,8°
Midlere anomali: -65,0°
Epoke: 2025 NOV 29 19:35:10
orbit plot

Ikke-interaktivt plott | Interaktivt plott

position vs time
speed and acceleration

Loten (LOT) cam6


gnomonic
Videoer
• Gnomonisk
• Gnomonisk med koordinater
• Original
• Original med koordinater
Bilder
• Gnomonisk
• Gnomonisk med koordinater
• Original
• Original med koordinater
Tekstfiler
• Deteksjon
• Observasjon
• Koordinater
• Logg
Lysstyrke