🇳🇴 🇬🇧 🇩🇪 🇨🇿 🇫🇮

Meteor Jämjöin yllä 2025-11-29 19:35:10 UTC

KML-tiedosto  |  Interaktiivinen kartta

Kartta näyttää meteorin suuntahavainnot. Vaaleammat viivat näyttävät suunnat havaintoasemilta meteorin ilmestyessä, ja tummemmat viivat näyttävät, missä se viimeksi nähtiin. Sininen nuoli näyttää meteorin näkyvän lennon.

static map
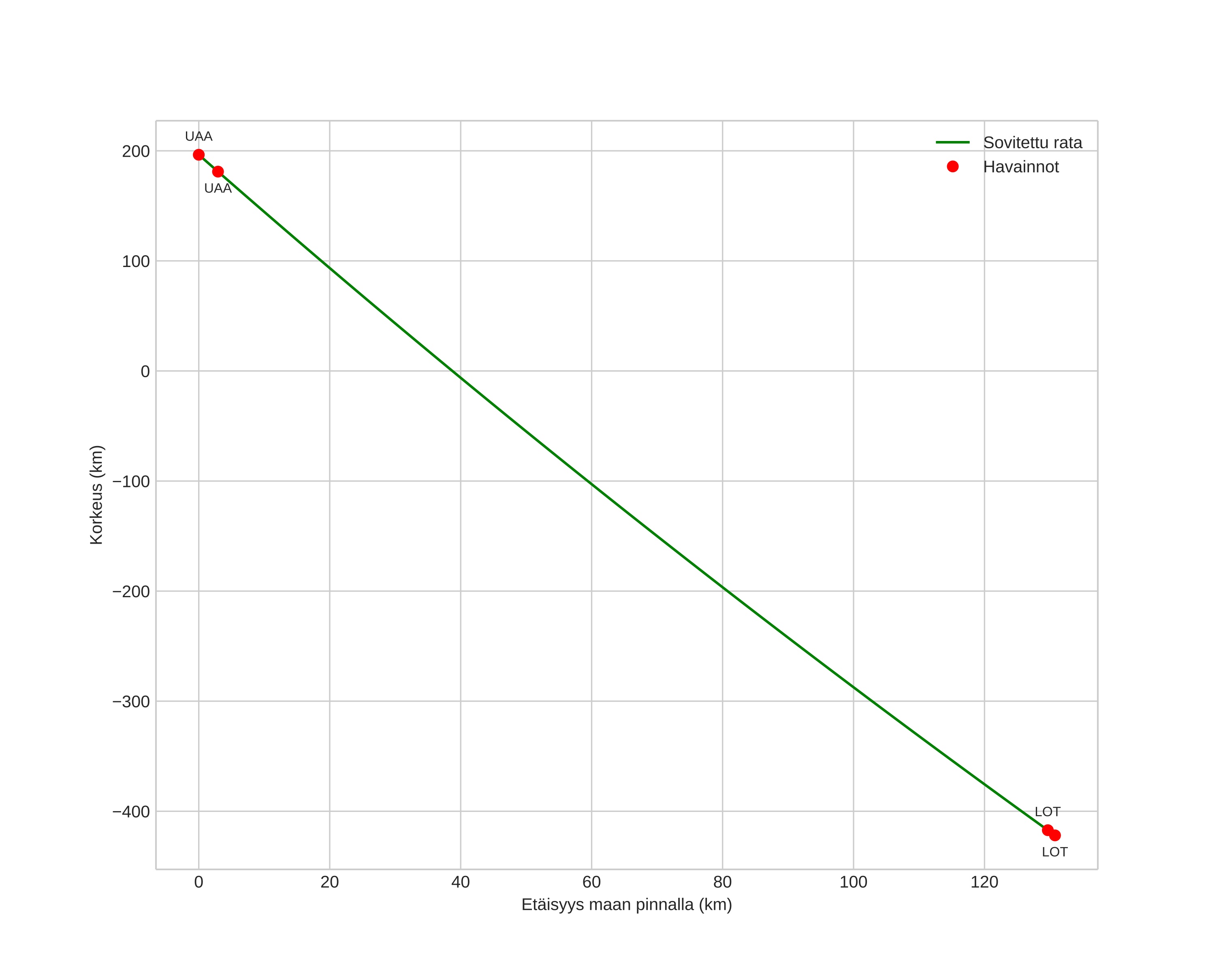
height profile
Meteorin ilmakehärata:
Alkukorkeus: 196,4 km
Loppukorkeus: -421,9 km
Alkupiste: 56,846N 14,912E
Loppupiste: 55,897N 16,167E
Suunta: 143,3°
Kallistuskulma: 78,1°
Tulonopeus: 54,2 km/s
Radiantin R,A,: 23:56 (359,1°)
Radiantin Dekl,: 65,2°
Meteoriparvi: Sporadinen
Meteoroidin rataelementit:
Perihelietäisyys: 0,890 AU
Eksentrisyys: 3,764
Inklinaatio: 45,5°
Nousevan solmun pituus: 247,5°
Perihelin argumentti: 208,8°
Keskianomalia: -65,0°
Epookki: 2025 NOV 29 19:35:10
orbit plot

Ei-interaktiivinen kuvaaja | Interaktiivinen kuvaaja

position vs time
speed and acceleration

Loten (LOT) cam6


gnomonic
Videot:
• Gnomoninen
• Gnomoninen koordinaateilla
• Alkuperäinen
• Alkuperäinen koordinaateilla
Kuvat:
• Gnomoninen
• Gnomoninen koordinaateilla
• Alkuperäinen
• Alkuperäinen koordinaateilla
Tekstitiedostot:
• Havaintoraportti
• Observaatio
• Koordinaatit
• Loki
Kirkkaus