🇳🇴 🇬🇧 🇩🇪 🇨🇿 🇫🇮

Meteor over Folldal 2025-11-29 23:10:52 UTC

KML-fil  |  Interaktivt kart

Kartet viser peilingene for meteoren. De lysere linjene viser retningene fra observasjonsstedene for meteorens tilsynekomst, og de mørkere linjene viser hvor den sist kunne sees. Den blå pila viser meteorens synlige ferd.

static map
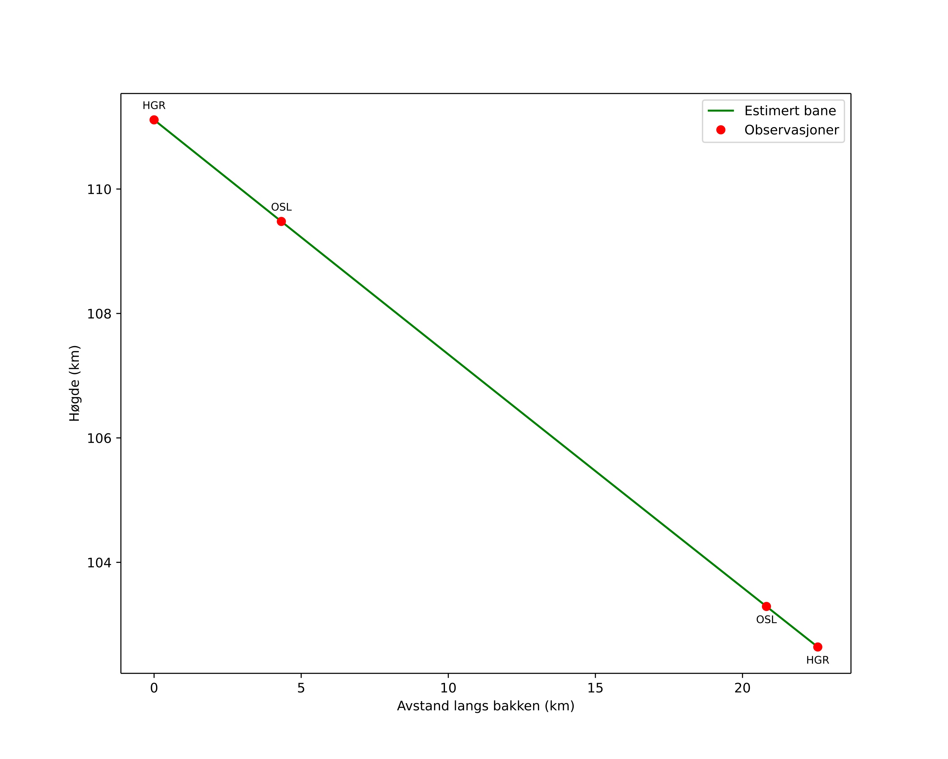
height profile
Meteorens atmosfæriske bane:
Starthøgde: 111,1 km
Slutthøgde: 102,6 km
Startposisjon: 61,943N 10,709E
Sluttposisjon: 61,899N 10,288E
Retning: 257,9°
Fallvinkel: 20,6°
Inngangshastighet: 72,0 km/s
Radiantens rektascensjon: 10:30 (157,7°)
Radiantens deklinasjon: 23,6°
Meteorsverm: Leonidene
Meteoroidens baneelement:
Perihelavstand: 0,945 AU
Eksentrisitet: 1,014
Inklinasjon: 157,1°
Knutelengde: 247,6°
Perihelargument: 203,5°
Midlere anomali: -0,0°
Epoke: 2025 NOV 29 23:10:52
orbit plot

Ikke-interaktivt plott | Interaktivt plott

position vs time
speed and acceleration

Hagar (HGR) cam2


gnomonic
Videoer
• Gnomonisk
• Gnomonisk med koordinater
• Original
• Original med koordinater
Bilder
• Gnomonisk
• Gnomonisk med koordinater
• Original
• Original med koordinater
Tekstfiler
• Deteksjon
• Observasjon
• Koordinater
• Logg
Lysstyrke

Voksenlia (OSL) cam1


gnomonic
Videoer
• Gnomonisk
• Gnomonisk med koordinater
• Original
• Original med koordinater
Bilder
• Gnomonisk
• Gnomonisk med koordinater
• Original
• Original med koordinater
Tekstfiler
• Deteksjon
• Observasjon
• Koordinater
• Logg
Lysstyrke