🇳🇴 🇬🇧 🇩🇪 🇨🇿 🇫🇮

Meteor Størenin yllä 2025-11-30 01:15:31 UTC

KML-tiedosto  |  Interaktiivinen kartta

Kartta näyttää meteorin suuntahavainnot. Vaaleammat viivat näyttävät suunnat havaintoasemilta meteorin ilmestyessä, ja tummemmat viivat näyttävät, missä se viimeksi nähtiin. Sininen nuoli näyttää meteorin näkyvän lennon.

static map
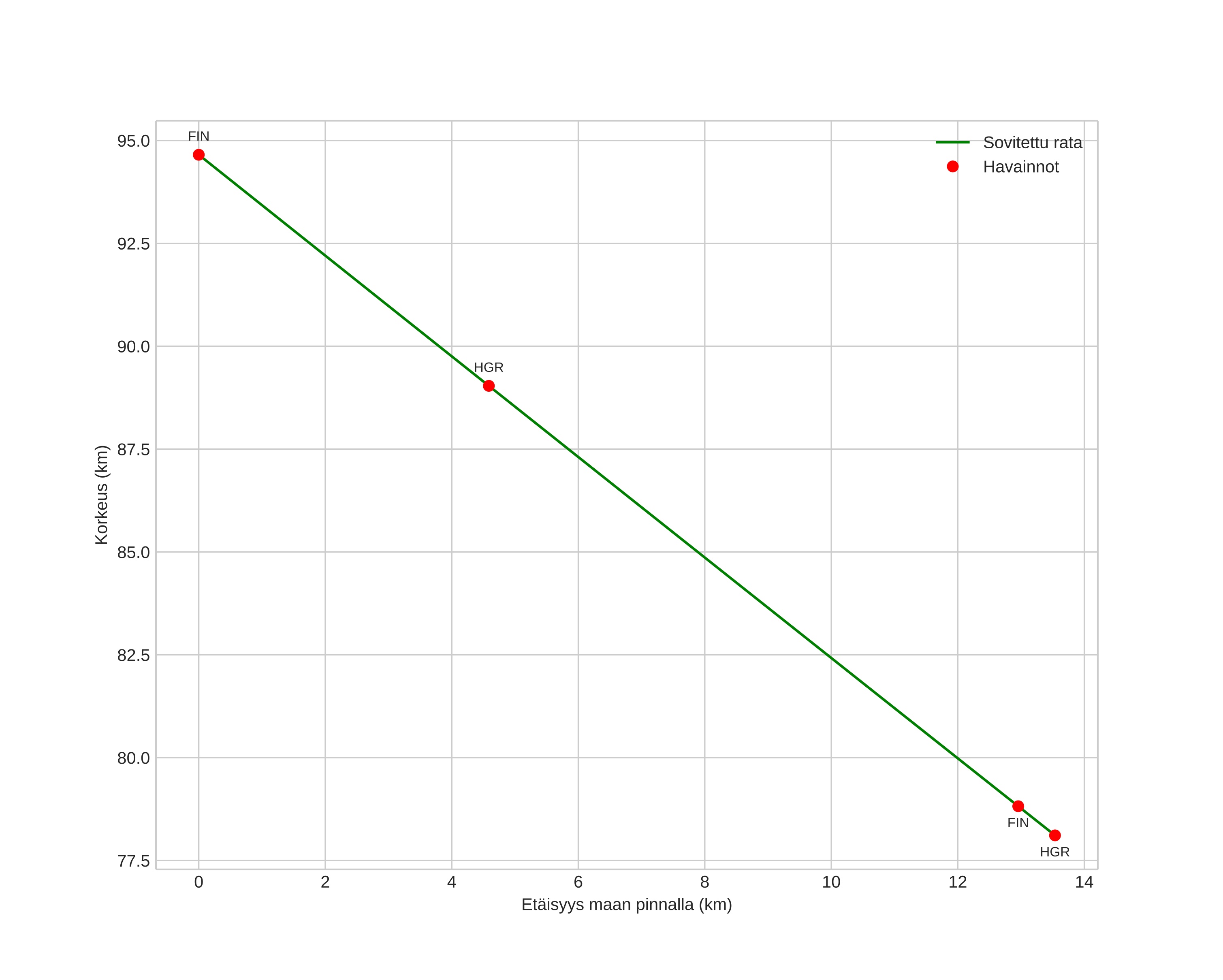
height profile
Meteorin ilmakehärata:
Alkukorkeus: 94,7 km
Loppukorkeus: 78,1 km
Alkupiste: 62,709N 10,506E
Loppupiste: 62,817N 10,627E
Suunta: 27,1°
Kallistuskulma: 50,8°
Tulonopeus: 31,1 km/s
Radiantin R,A,: 05:14 (78,7°)
Radiantin Dekl,: 24,0°
Meteoriparvi: Pohjoiset tauridit
Meteoroidin rataelementit:
Perihelietäisyys: 0,346 AU
Eksentrisyys: 0,848
Inklinaatio: 1,2°
Nousevan solmun pituus: 247,6°
Perihelin argumentti: 294,7°
Keskianomalia: 348,1°
Epookki: 2025 NOV 30 01:15:31
orbit plot

Ei-interaktiivinen kuvaaja | Interaktiivinen kuvaaja

position vs time
speed and acceleration

Finnskogen (FIN) cam1


gnomonic
Videot:
• Gnomoninen
• Gnomoninen koordinaateilla
• Alkuperäinen
• Alkuperäinen koordinaateilla
Kuvat:
• Gnomoninen
• Gnomoninen koordinaateilla
• Alkuperäinen
• Alkuperäinen koordinaateilla
Tekstitiedostot:
• Havaintoraportti
• Observaatio
• Koordinaatit
• Loki
Kirkkaus

Hagar (HGR) cam2


gnomonic
Videot:
• Gnomoninen
• Gnomoninen koordinaateilla
• Alkuperäinen
• Alkuperäinen koordinaateilla
Kuvat:
• Gnomoninen
• Gnomoninen koordinaateilla
• Alkuperäinen
• Alkuperäinen koordinaateilla
Tekstitiedostot:
• Havaintoraportti
• Observaatio
• Koordinaatit
• Loki
Kirkkaus