🇳🇴 🇬🇧 🇩🇪 🇨🇿 🇫🇮

Meteor over Färila 2025-11-30 01:31:13 UTC

KML-fil  |  Interaktivt kart

Kartet viser peilingene for meteoren. De lysere linjene viser retningene fra observasjonsstedene for meteorens tilsynekomst, og de mørkere linjene viser hvor den sist kunne sees. Den blå pila viser meteorens synlige ferd.

static map
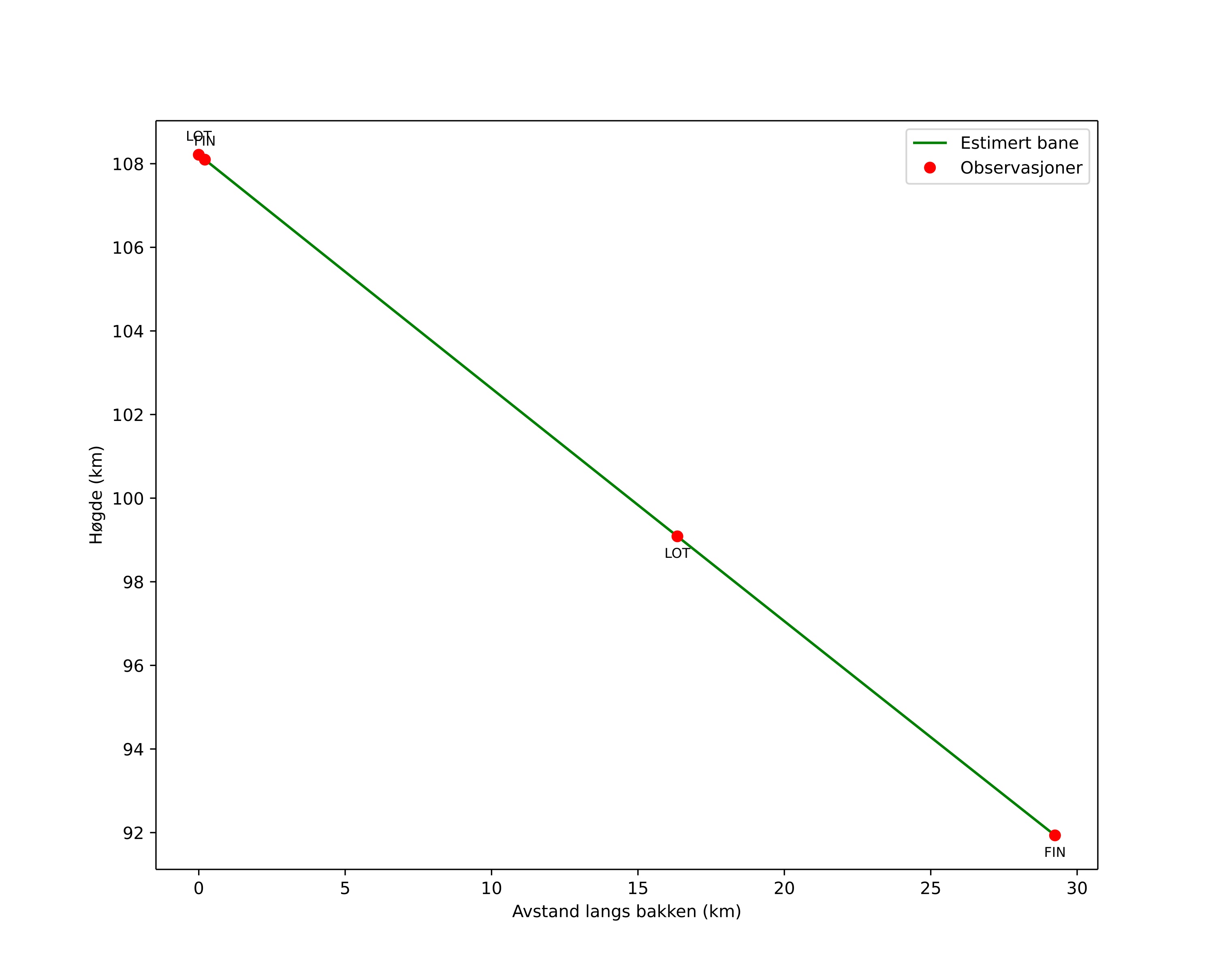
height profile
Meteorens atmosfæriske bane:
Starthøgde: 108,2 km
Slutthøgde: 91,9 km
Startposisjon: 61,706N 15,578E
Sluttposisjon: 61,966N 15,498E
Retning: 351,7°
Fallvinkel: 29,1°
Inngangshastighet: 61,5 km/s
Radiantens rektascensjon: 07:36 (114,2°)
Radiantens deklinasjon: 0,6°
Meteorsverm: sporadisk
Meteoroidens baneelement:
Perihelavstand: 0,316 AU
Eksentrisitet: 1,088
Inklinasjon: 119,3°
Knutelengde: 67,7°
Perihelargument: 107,7°
Midlere anomali: -4,9°
Epoke: 2025 NOV 30 01:31:13
orbit plot

Ikke-interaktivt plott | Interaktivt plott

position vs time
speed and acceleration

Finnskogen (FIN) cam2


gnomonic
Videoer
• Gnomonisk
• Gnomonisk med koordinater
• Original
• Original med koordinater
Bilder
• Gnomonisk
• Gnomonisk med koordinater
• Original
• Original med koordinater
Tekstfiler
• Deteksjon
• Observasjon
• Koordinater
• Logg
Lysstyrke

Loten (LOT) cam2


gnomonic
Videoer
• Gnomonisk
• Gnomonisk med koordinater
• Original
• Original med koordinater
Bilder
• Gnomonisk
• Gnomonisk med koordinater
• Original
• Original med koordinater
Tekstfiler
• Deteksjon
• Observasjon
• Koordinater
• Logg
Lysstyrke