🇳🇴 🇬🇧 🇩🇪 🇨🇿 🇫🇮

Meteor Prestestrandan yllä 2025-11-30 23:42:20 UTC

KML-tiedosto  |  Interaktiivinen kartta

Kartta näyttää meteorin suuntahavainnot. Vaaleammat viivat näyttävät suunnat havaintoasemilta meteorin ilmestyessä, ja tummemmat viivat näyttävät, missä se viimeksi nähtiin. Sininen nuoli näyttää meteorin näkyvän lennon.

static map
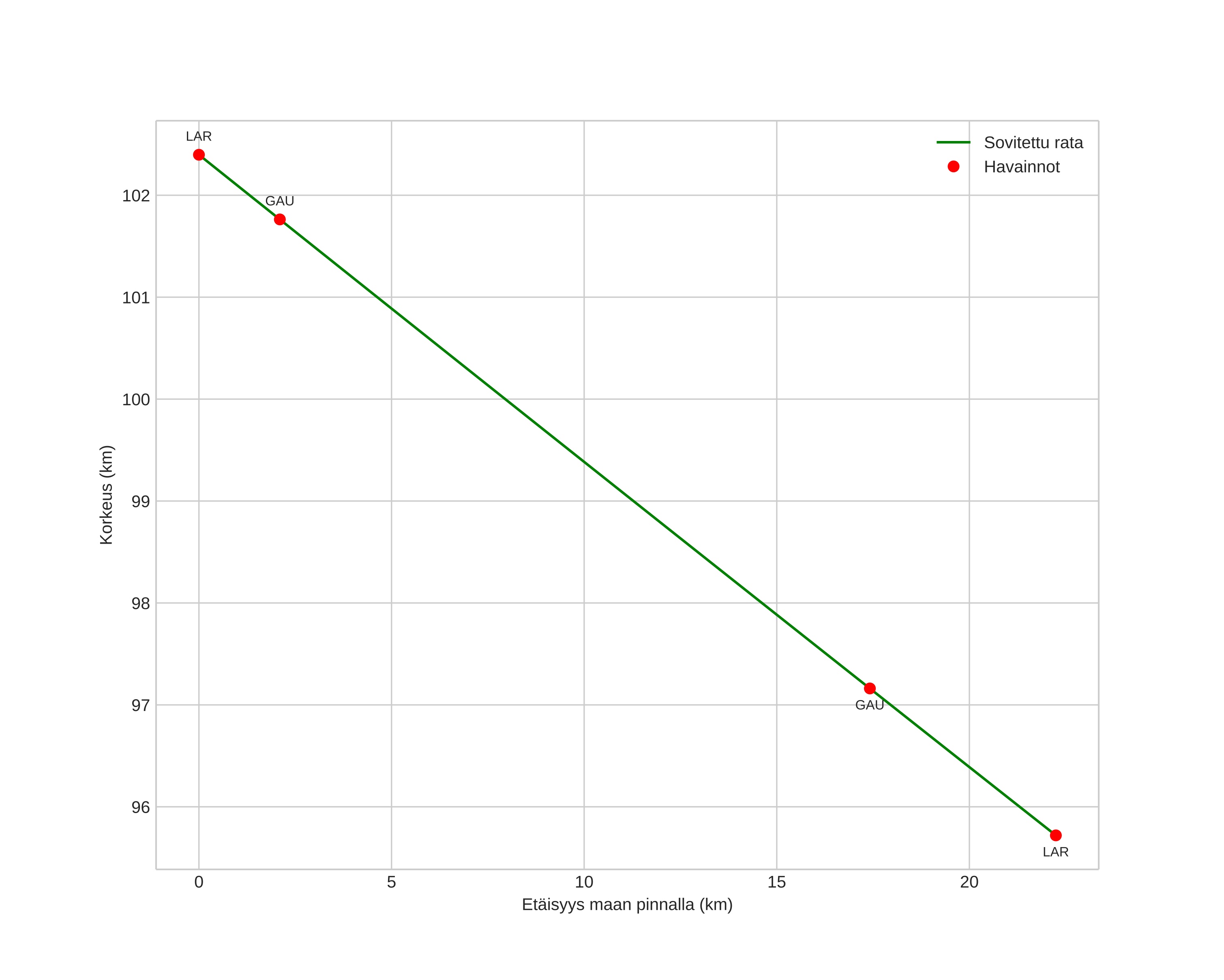
height profile
Meteorin ilmakehärata:
Alkukorkeus: 102,4 km
Loppukorkeus: 95,7 km
Alkupiste: 59,095N 9,218E
Loppupiste: 59,028N 8,851E
Suunta: 250,7°
Kallistuskulma: 16,8°
Tulonopeus: 66,0 km/s
Radiantin R,A,: 11:30 (172,6°)
Radiantin Dekl,: 23,9°
Meteoriparvi: Sporadinen
Meteoroidin rataelementit:
Perihelietäisyys: 0,964 AU
Eksentrisyys: 0,588
Inklinaatio: 145,8°
Nousevan solmun pituus: 248,7°
Perihelin argumentti: 160,1°
Keskianomalia: 4,2°
Epookki: 2025 NOV 30 23:42:20
orbit plot

Ei-interaktiivinen kuvaaja | Interaktiivinen kuvaaja

position vs time
speed and acceleration

Gaustatoppen (GAU) cam7


gnomonic
Videot:
• Gnomoninen
• Gnomoninen koordinaateilla
• Alkuperäinen
• Alkuperäinen koordinaateilla
Kuvat:
• Gnomoninen
• Gnomoninen koordinaateilla
• Alkuperäinen
• Alkuperäinen koordinaateilla
Tekstitiedostot:
• Havaintoraportti
• Observaatio
• Koordinaatit
• Loki
Kirkkaus

Larvik (LAR) cam6


gnomonic
Videot:
• Gnomoninen
• Gnomoninen koordinaateilla
• Alkuperäinen
• Alkuperäinen koordinaateilla
Kuvat:
• Gnomoninen
• Gnomoninen koordinaateilla
• Alkuperäinen
• Alkuperäinen koordinaateilla
Tekstitiedostot:
• Havaintoraportti
• Observaatio
• Koordinaatit
• Loki
Kirkkaus