🇳🇴 🇬🇧 🇩🇪 🇨🇿 🇫🇮

Meteor over Fränsta 2025-12-03 04:27:43 UTC

KML-fil  |  Interaktivt kart

Kartet viser peilingene for meteoren. De lysere linjene viser retningene fra observasjonsstedene for meteorens tilsynekomst, og de mørkere linjene viser hvor den sist kunne sees. Den blå pila viser meteorens synlige ferd.

static map
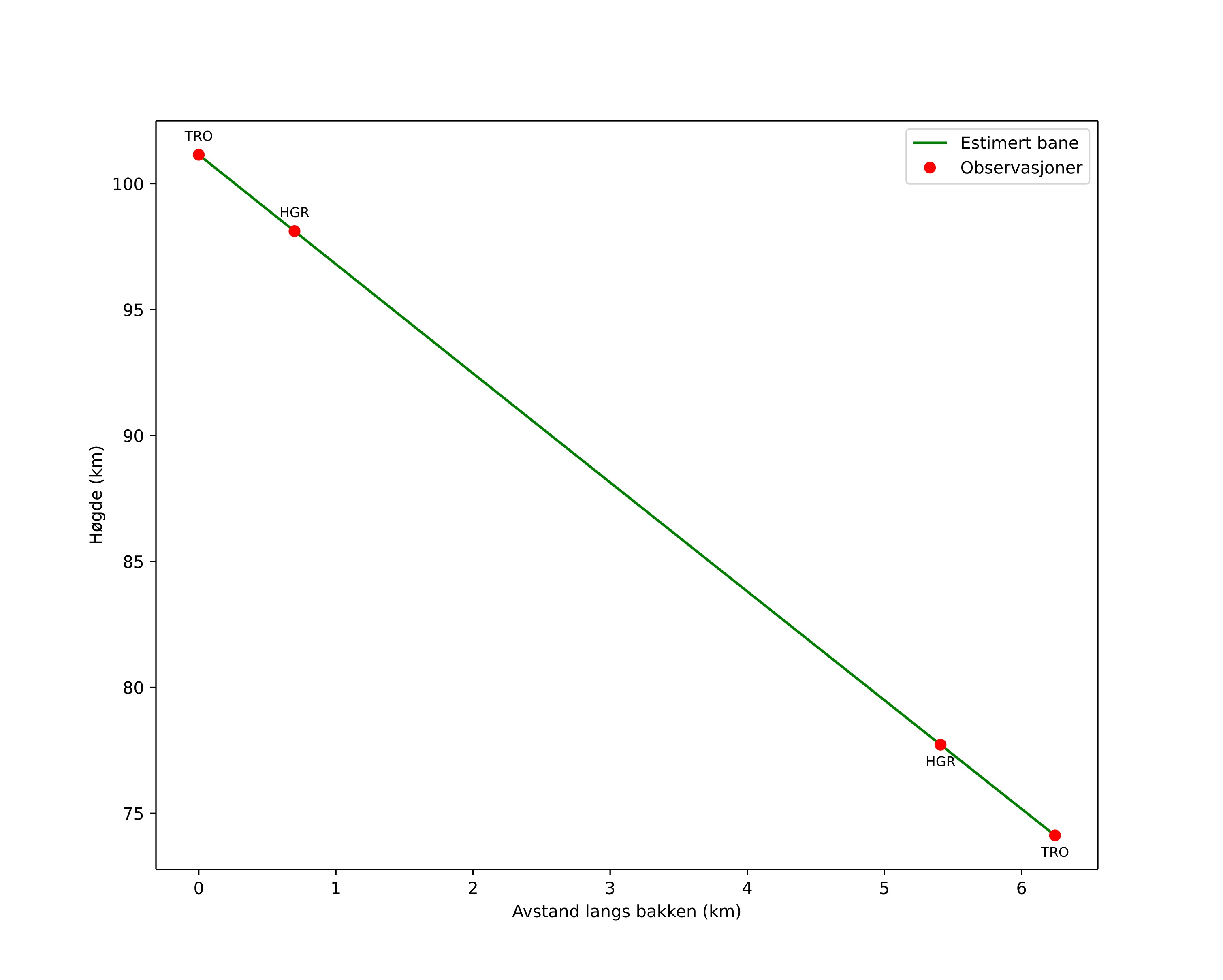
height profile
Meteorens atmosfæriske bane:
Starthøgde: 101,1 km
Slutthøgde: 74,1 km
Startposisjon: 62,891N 16,152E
Sluttposisjon: 62,850N 16,071E
Retning: 221,8°
Fallvinkel: 77,0°
Inngangshastighet: 49,2 km/s
Radiantens rektascensjon: 12:06 (181,5°)
Radiantens deklinasjon: 70,9°
Meteorsverm: sporadisk
Meteoroidens baneelement:
Perihelavstand: 0,921 AU
Eksentrisitet: 1,175
Inklinasjon: 77,0°
Knutelengde: 250,9°
Perihelargument: 208,5°
Midlere anomali: -1,5°
Epoke: 2025 DEC 03 04:27:43
orbit plot

Ikke-interaktivt plott | Interaktivt plott

position vs time
speed and acceleration

Hagar (HGR) cam3


gnomonic
Videoer
• Gnomonisk
• Gnomonisk med koordinater
• Original
• Original med koordinater
Bilder
• Gnomonisk
• Gnomonisk med koordinater
• Original
• Original med koordinater
Tekstfiler
• Deteksjon
• Observasjon
• Koordinater
• Logg
Lysstyrke

Trondheim (TRO) cam2


gnomonic
Videoer
• Gnomonisk
• Gnomonisk med koordinater
• Original
• Original med koordinater
Bilder
• Gnomonisk
• Gnomonisk med koordinater
• Original
• Original med koordinater
Tekstfiler
• Deteksjon
• Observasjon
• Koordinater
• Logg
Lysstyrke