🇳🇴 🇬🇧 🇩🇪 🇨🇿 🇫🇮

Meteor over Storsteinnes 2025-12-06 16:41:45 UTC

KML-fil  |  Interaktivt kart

Kartet viser peilingene for meteoren. De lysere linjene viser retningene fra observasjonsstedene for meteorens tilsynekomst, og de mørkere linjene viser hvor den sist kunne sees. Den blå pila viser meteorens synlige ferd.

static map
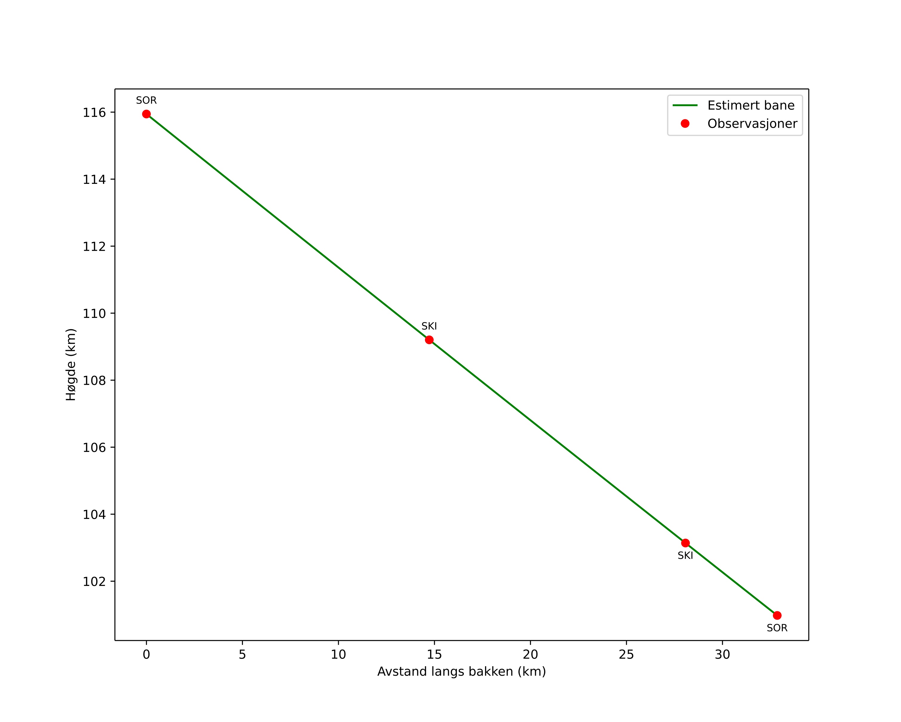
height profile
Meteorens atmosfæriske bane:
Starthøgde: 115,9 km
Slutthøgde: 101,0 km
Startposisjon: 69,825N 19,452E
Sluttposisjon: 69,530N 19,511E
Retning: 176,0°
Fallvinkel: 24,4°
Inngangshastighet: 62,5 km/s
Radiantens rektascensjon: 11:21 (170,5°)
Radiantens deklinasjon: 44,1°
Meteorsverm: sporadisk
Meteoroidens baneelement:
Perihelavstand: 0,913 AU
Eksentrisitet: 0,983
Inklinasjon: 116,6°
Knutelengde: 254,5°
Perihelargument: 211,7°
Midlere anomali: 359,9°
Epoke: 2025 DEC 06 16:41:45
orbit plot

Ikke-interaktivt plott | Interaktivt plott

position vs time
speed and acceleration

Skibotn (SKI) cam6


gnomonic
Videoer
• Gnomonisk
• Gnomonisk med koordinater
• Original
• Original med koordinater
Bilder
• Gnomonisk
• Gnomonisk med koordinater
• Original
• Original med koordinater
Tekstfiler
• Deteksjon
• Observasjon
• Koordinater
• Logg
Lysstyrke

Sorreisa (SOR) cam6


gnomonic
Videoer
• Gnomonisk
• Gnomonisk med koordinater
• Original
• Original med koordinater
Bilder
• Gnomonisk
• Gnomonisk med koordinater
• Original
• Original med koordinater
Tekstfiler
• Deteksjon
• Observasjon
• Koordinater
• Logg
Lysstyrke