🇳🇴 🇬🇧 🇩🇪 🇨🇿 🇫🇮

Meteor nad Trondheimem 2025-12-07 22:54:39 UTC

Soubor KML  |  InteraktivnĂ­ mapa

Mapa zobrazuje dráhy meteoru. Světlejší čáry ukazují směry od pozorovacích stanic při objevení se meteoru a tmavší čáry, kde byl naposledy viděn. Modrá šipka značí viditelnou dráhu meteoru.

static map
height profile
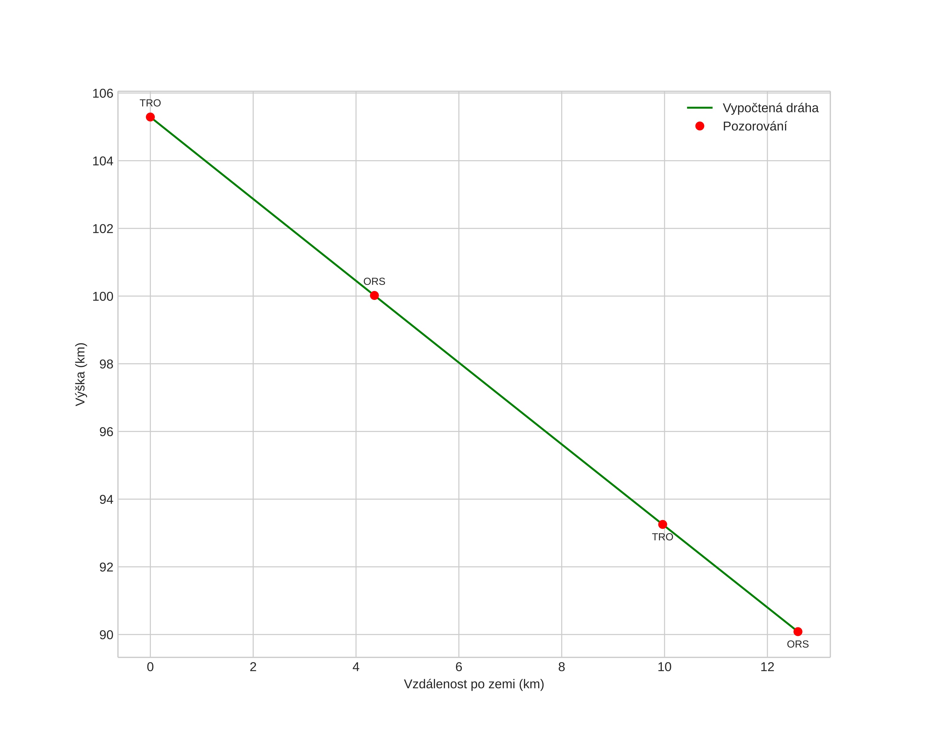
Atmosférická dráha meteoru:
Počáteční výška: 105,3 km
Konečná výška: 90,1 km
Počáteční poloha: 63,584N 10,631E
Konečná poloha: 63,581N 10,376E
Směr: 268,3°
Sklon: 50,4°
VstupnĂ­ rychlost: 41,9 km/s
Rektascenze radiantu: 08:56 (134,0°)
Deklinace radiantu: 43,9°
MeteorickĂ˝ roj: sporadickĂ˝
Elementy dráhy meteoroidu:
Vzdálenost v periheliu: 0,187 AU
Excentricita: 0,812
Sklon dráhy: 79,4°
Délka vzestupného uzlu: 255,7°
Argument perihelia: 323,8°
Střední anomálie: 317,5°
Epocha: 2025 DEC 07 22:54:39
orbit plot

NeinteraktivnĂ­ graf | InteraktivnĂ­ graf

position vs time
speed and acceleration

Orsta (ORS) cam1


gnomonic
Videa
• Gnomonická
• Gnomonická se souřadnicemi
• Původní
• Původní se souřadnicemi
Obrázky
• Gnomonická
• Gnomonická se souřadnicemi
• Původní
• Původní se souřadnicemi
Textové soubory
• Detekce
• Pozorování
• Souřadnice
• Protokol
Jasnost

Trondheim (TRO) cam6


gnomonic
Videa
• Gnomonická
• Gnomonická se souřadnicemi
• Původní
• Původní se souřadnicemi
Obrázky
• Gnomonická
• Gnomonická se souřadnicemi
• Původní
• Původní se souřadnicemi
Textové soubory
• Detekce
• Pozorování
• Souřadnice
• Protokol
Jasnost