🇳🇴 🇬🇧 🇩🇪 🇨🇿 🇫🇮

Meteor Bruflatin yllä 2025-12-10 21:41:19 UTC

KML-tiedosto  |  Interaktiivinen kartta

Kartta näyttää meteorin suuntahavainnot. Vaaleammat viivat näyttävät suunnat havaintoasemilta meteorin ilmestyessä, ja tummemmat viivat näyttävät, missä se viimeksi nähtiin. Sininen nuoli näyttää meteorin näkyvän lennon.

static map
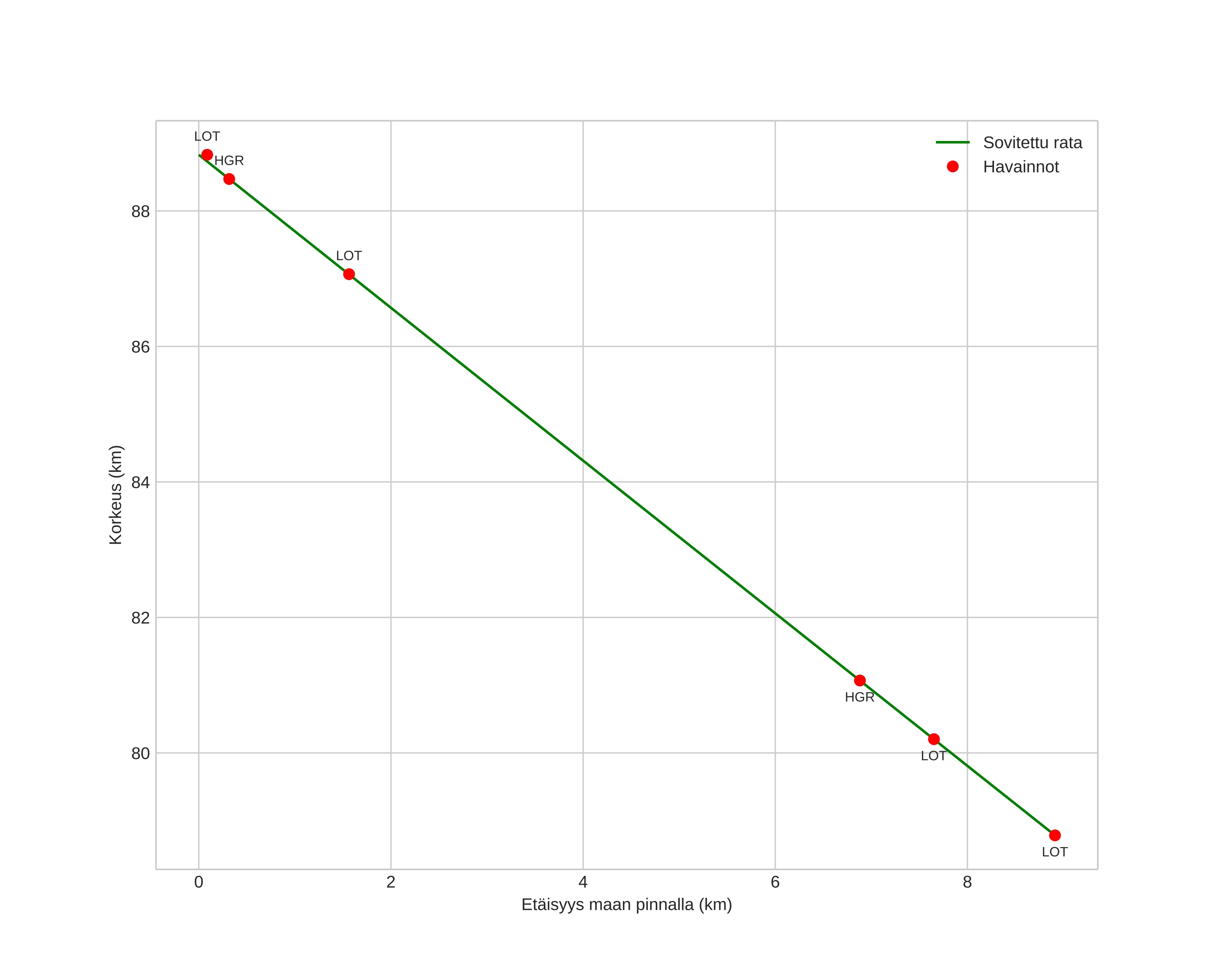
height profile
Meteorin ilmakehärata:
Alkukorkeus: 88,8 km
Loppukorkeus: 78,8 km
Alkupiste: 60,912N 10,012E
Loppupiste: 60,928N 9,851E
Suunta: 282,0°
Kallistuskulma: 48,3°
Tulonopeus: 34,4 km/s
Radiantin R,A,: 07:14 (108,5°)
Radiantin Dekl,: 35,0°
Meteoriparvi: Geminidit
Meteoroidin rataelementit:
Perihelietäisyys: 0,179 AU
Eksentrisyys: 0,861
Inklinaatio: 23,7°
Nousevan solmun pituus: 258,7°
Perihelin argumentti: 320,1°
Keskianomalia: 333,5°
Epookki: 2025 DEC 10 21:41:19
orbit plot

Ei-interaktiivinen kuvaaja | Interaktiivinen kuvaaja

position vs time
speed and acceleration

Hagar (HGR) cam7


gnomonic
Videot:
• Gnomoninen
• Gnomoninen koordinaateilla
• Alkuperäinen
• Alkuperäinen koordinaateilla
Kuvat:
• Gnomoninen
• Gnomoninen koordinaateilla
• Alkuperäinen
• Alkuperäinen koordinaateilla
Tekstitiedostot:
• Havaintoraportti
• Observaatio
• Koordinaatit
• Loki
Kirkkaus

Loten (LOT) cam5


gnomonic
Videot:
• Gnomoninen
• Gnomoninen koordinaateilla
• Alkuperäinen
• Alkuperäinen koordinaateilla
Kuvat:
• Gnomoninen
• Gnomoninen koordinaateilla
• Alkuperäinen
• Alkuperäinen koordinaateilla
Tekstitiedostot:
• Havaintoraportti
• Observaatio
• Koordinaatit
• Loki
Kirkkaus

Loten (LOT) cam6


gnomonic
Videot:
• Gnomoninen
• Gnomoninen koordinaateilla
• Alkuperäinen
• Alkuperäinen koordinaateilla
Kuvat:
• Gnomoninen
• Gnomoninen koordinaateilla
• Alkuperäinen
• Alkuperäinen koordinaateilla
Tekstitiedostot:
• Havaintoraportti
• Observaatio
• Koordinaatit
• Loki
Kirkkaus