🇳🇴 🇬🇧 🇩🇪 🇨🇿 🇫🇮

Meteor Tjømen yllä 2025-12-11 00:04:11 UTC

KML-tiedosto  |  Interaktiivinen kartta

Kartta näyttää meteorin suuntahavainnot. Vaaleammat viivat näyttävät suunnat havaintoasemilta meteorin ilmestyessä, ja tummemmat viivat näyttävät, missä se viimeksi nähtiin. Sininen nuoli näyttää meteorin näkyvän lennon.

static map
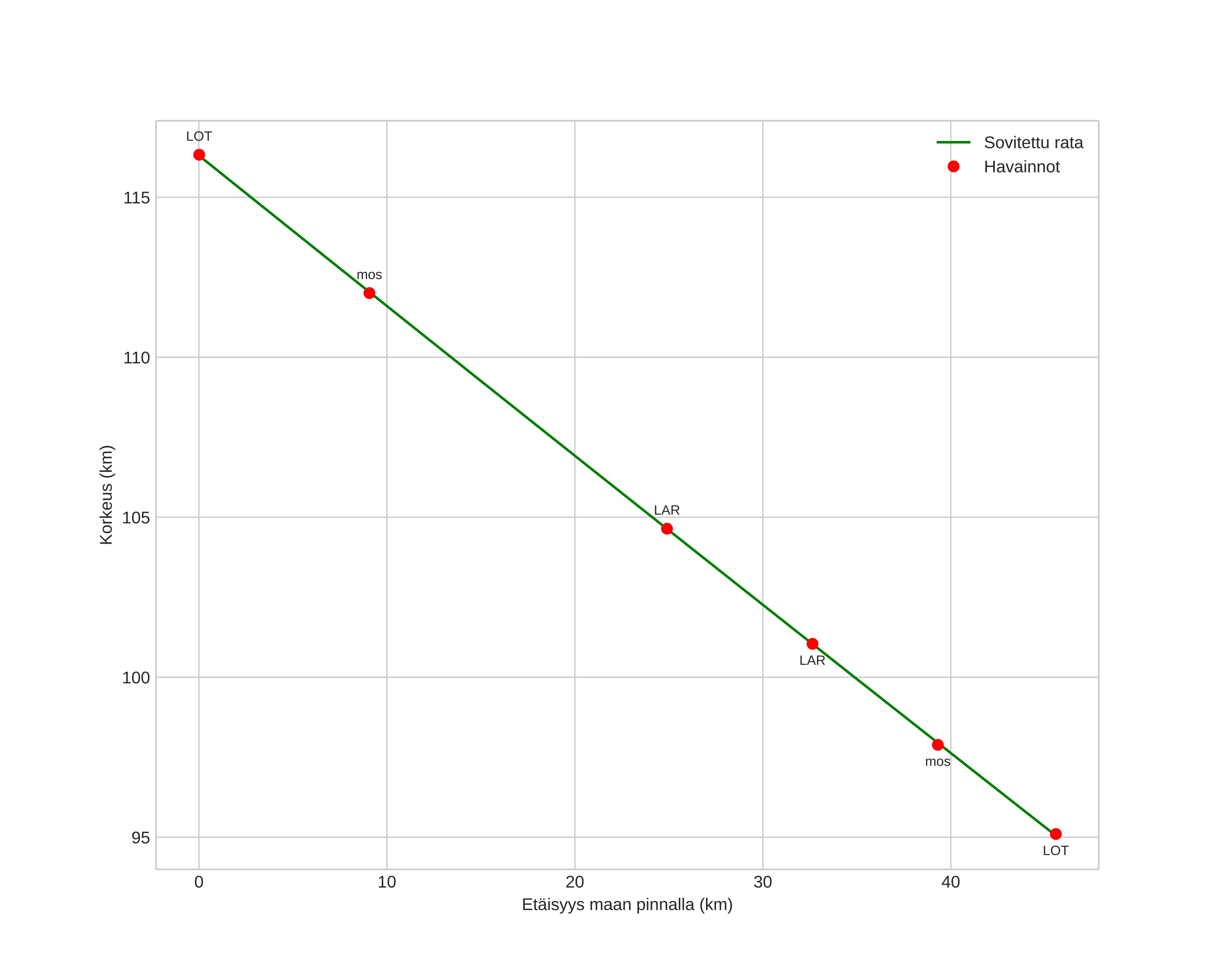
height profile
Meteorin ilmakehärata:
Alkukorkeus: 116,3 km
Loppukorkeus: 95,1 km
Alkupiste: 58,543N 11,050E
Loppupiste: 58,810N 10,452E
Suunta: 310,9°
Kallistuskulma: 24,9°
Tulonopeus: 65,7 km/s
Radiantin R,A,: 08:59 (134,9°)
Radiantin Dekl,: 2,4°
Meteoriparvi: Sigma-hydridit
Meteoroidin rataelementit:
Perihelietäisyys: 0,410 AU
Eksentrisyys: 1,042
Inklinaatio: 145,6°
Nousevan solmun pituus: 78,8°
Perihelin argumentti: 98,3°
Keskianomalia: -1,2°
Epookki: 2025 DEC 11 00:04:11
orbit plot

Ei-interaktiivinen kuvaaja | Interaktiivinen kuvaaja

position vs time
speed and acceleration

Larvik (LAR) cam7


gnomonic
Videot:
• Gnomoninen
• Gnomoninen koordinaateilla
• Alkuperäinen
• Alkuperäinen koordinaateilla
Kuvat:
• Gnomoninen
• Gnomoninen koordinaateilla
• Alkuperäinen
• Alkuperäinen koordinaateilla
Tekstitiedostot:
• Havaintoraportti
• Observaatio
• Koordinaatit
• Loki
Kirkkaus

Loten (LOT) cam4


gnomonic
Videot:
• Gnomoninen
• Gnomoninen koordinaateilla
• Alkuperäinen
• Alkuperäinen koordinaateilla
Kuvat:
• Gnomoninen
• Gnomoninen koordinaateilla
• Alkuperäinen
• Alkuperäinen koordinaateilla
Tekstitiedostot:
• Havaintoraportti
• Observaatio
• Koordinaatit
• Loki
Kirkkaus

Moss (mos) cam7


gnomonic
Videot:
• Gnomoninen
• Gnomoninen koordinaateilla
• Alkuperäinen
• Alkuperäinen koordinaateilla
Kuvat:
• Gnomoninen
• Gnomoninen koordinaateilla
• Alkuperäinen
• Alkuperäinen koordinaateilla
Tekstitiedostot:
• Havaintoraportti
• Observaatio
• Koordinaatit
• Loki
Kirkkaus