🇳🇴 🇬🇧 🇩🇪 🇨🇿 🇫🇮

Meteor, poloha: Salluit 2025-12-11 00:53:56 UTC

Soubor KML  |  Interaktivní mapa

Mapa zobrazuje dráhy meteoru. Světlejší čáry ukazují směry od pozorovacích stanic při objevení se meteoru a tmavší čáry, kde byl naposledy viděn. Modrá šipka značí viditelnou dráhu meteoru.

static map
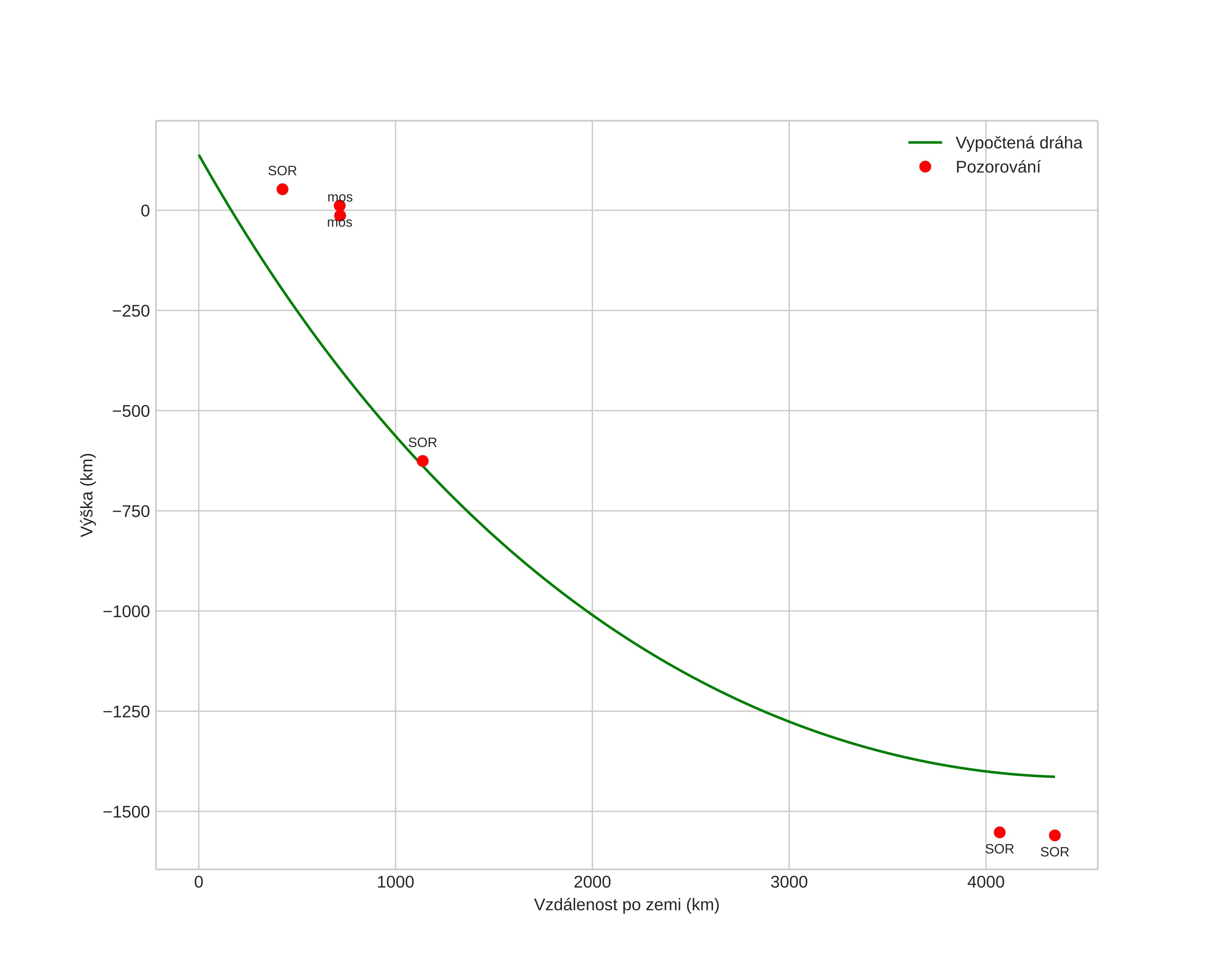
height profile
Atmosférická dráha meteoru:
Počáteční výška: 138,5 km
Konečná výška: -1413,7 km
Počáteční poloha: 65,016N 17,611E
Konečná poloha: 61,231N -77,689E
Směr: 310,6°
Sklon: 19,6°
position vs time
speed and acceleration