🇳🇴 🇬🇧 🇩🇪 🇨🇿 🇫🇮

Meteor over Fosnavåg 2025-12-11 01:33:23 UTC

KML-fil  |  Interaktivt kart

Kartet viser peilingene for meteoren. De lysere linjene viser retningene fra observasjonsstedene for meteorens tilsynekomst, og de mørkere linjene viser hvor den sist kunne sees. Den blå pila viser meteorens synlige ferd.

static map
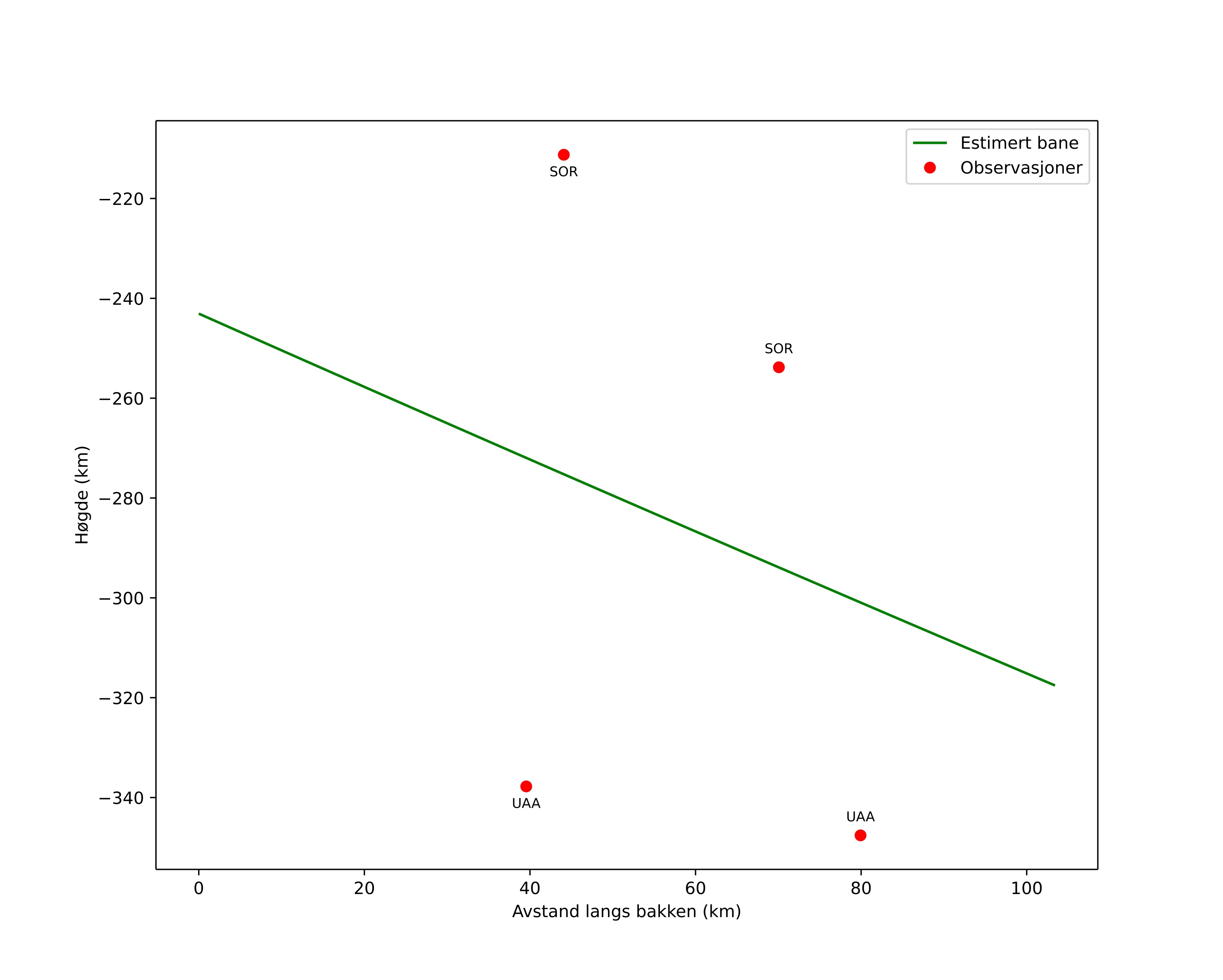
height profile
Meteorens atmosfæriske bane:
Starthøgde: -243,1 km
Slutthøgde: -317,6 km
Startposisjon: 63,117N 3,977E
Sluttposisjon: 64,047N 3,928E
Retning: 358,7°
Fallvinkel: 35,8°
position vs time
speed and acceleration

Sorreisa (SOR) cam2


gnomonic
Videoer
• Gnomonisk
• Gnomonisk med koordinater
• Original
• Original med koordinater
Bilder
• Gnomonisk
• Gnomonisk med koordinater
• Original
• Original med koordinater
Tekstfiler
• Deteksjon
• Observasjon
• Koordinater
• Logg
Lysstyrke