🇳🇴 🇬🇧 🇩🇪 🇨🇿 🇫🇮

Meteor, poloha: Siljansnäs 2025-12-11 06:26:54 UTC

Soubor KML  |  Interaktivní mapa

Mapa zobrazuje dráhy meteoru. Světlejší čáry ukazují směry od pozorovacích stanic při objevení se meteoru a tmavší čáry, kde byl naposledy viděn. Modrá šipka značí viditelnou dráhu meteoru.

static map
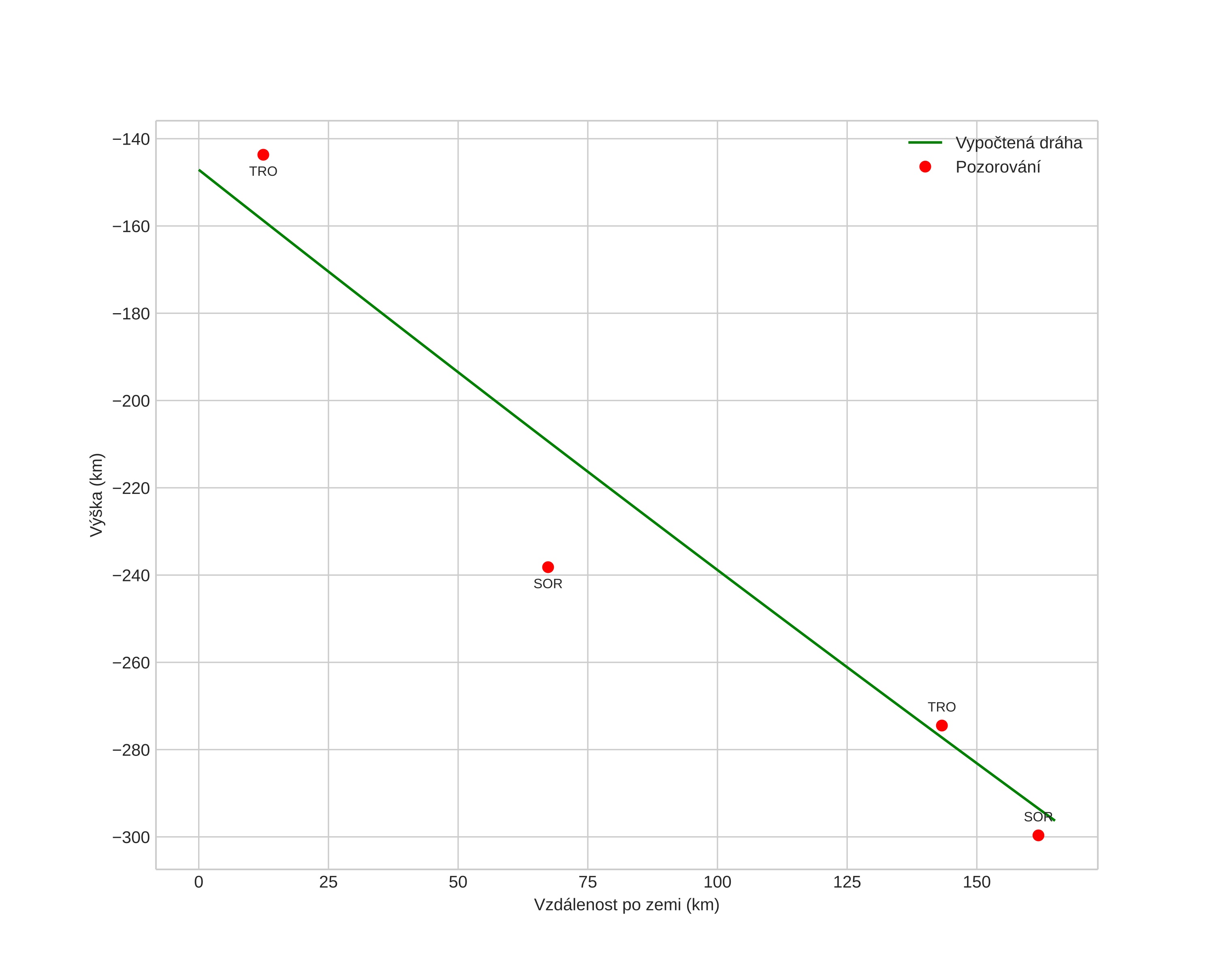
height profile
Atmosférická dráha meteoru:
Počáteční výška: -147,1 km
Konečná výška: -296,3 km
Počáteční poloha: 61,905N 12,732E
Konečná poloha: 60,785N 14,764E
Směr: 138,1°
Sklon: 42,1°
Vstupní rychlost: 8,0 km/s
position vs time
speed and acceleration