🇳🇴 🇬🇧 🇩🇪 🇨🇿 🇫🇮

Meteor Holin yllä 2025-12-11 17:49:55 UTC

KML-tiedosto  |  Interaktiivinen kartta

Kartta näyttää meteorin suuntahavainnot. Vaaleammat viivat näyttävät suunnat havaintoasemilta meteorin ilmestyessä, ja tummemmat viivat näyttävät, missä se viimeksi nähtiin. Sininen nuoli näyttää meteorin näkyvän lennon.

static map
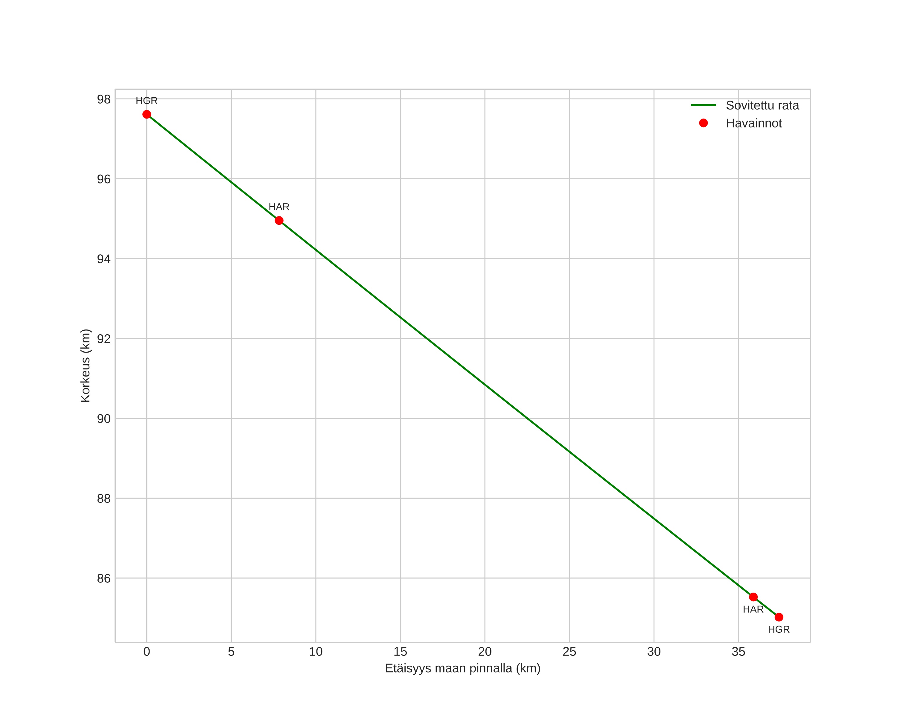
height profile
Meteorin ilmakehärata:
Alkukorkeus: 97,6 km
Loppukorkeus: 85,0 km
Alkupiste: 60,966N 8,841E
Loppupiste: 60,774N 8,274E
Suunta: 235,4°
Kallistuskulma: 18,6°
Tulonopeus: 37,0 km/s
Radiantin R,A,: 07:18 (109,7°)
Radiantin Dekl,: 31,2°
Meteoriparvi: Geminidit
Meteoroidin rataelementit:
Perihelietäisyys: 0,134 AU
Eksentrisyys: 0,908
Inklinaatio: 20,8°
Nousevan solmun pituus: 259,6°
Perihelin argumentti: 324,7°
Keskianomalia: 339,4°
Epookki: 2025 DEC 11 17:49:55
orbit plot

Ei-interaktiivinen kuvaaja | Interaktiivinen kuvaaja

position vs time
speed and acceleration

Hagar (HGR) cam1


gnomonic
Videot:
• Gnomoninen
• Gnomoninen koordinaateilla
• Alkuperäinen
• Alkuperäinen koordinaateilla
Kuvat:
• Gnomoninen
• Gnomoninen koordinaateilla
• Alkuperäinen
• Alkuperäinen koordinaateilla
Tekstitiedostot:
• Havaintoraportti
• Observaatio
• Koordinaatit
• Loki
Kirkkaus

Harestua (HAR) cam5


gnomonic
Videot:
• Gnomoninen
• Gnomoninen koordinaateilla
• Alkuperäinen
• Alkuperäinen koordinaateilla
Kuvat:
• Gnomoninen
• Gnomoninen koordinaateilla
• Alkuperäinen
• Alkuperäinen koordinaateilla
Tekstitiedostot:
• Havaintoraportti
• Observaatio
• Koordinaatit
• Loki
Kirkkaus