🇳🇴 🇬🇧 🇩🇪 🇨🇿 🇫🇮

Meteor, poloha: Ål 2025-12-11 20:59:15 UTC

Soubor KML  |  Interaktivní mapa

Mapa zobrazuje dráhy meteoru. Světlejší čáry ukazují směry od pozorovacích stanic při objevení se meteoru a tmavší čáry, kde byl naposledy viděn. Modrá šipka značí viditelnou dráhu meteoru.

static map
height profile
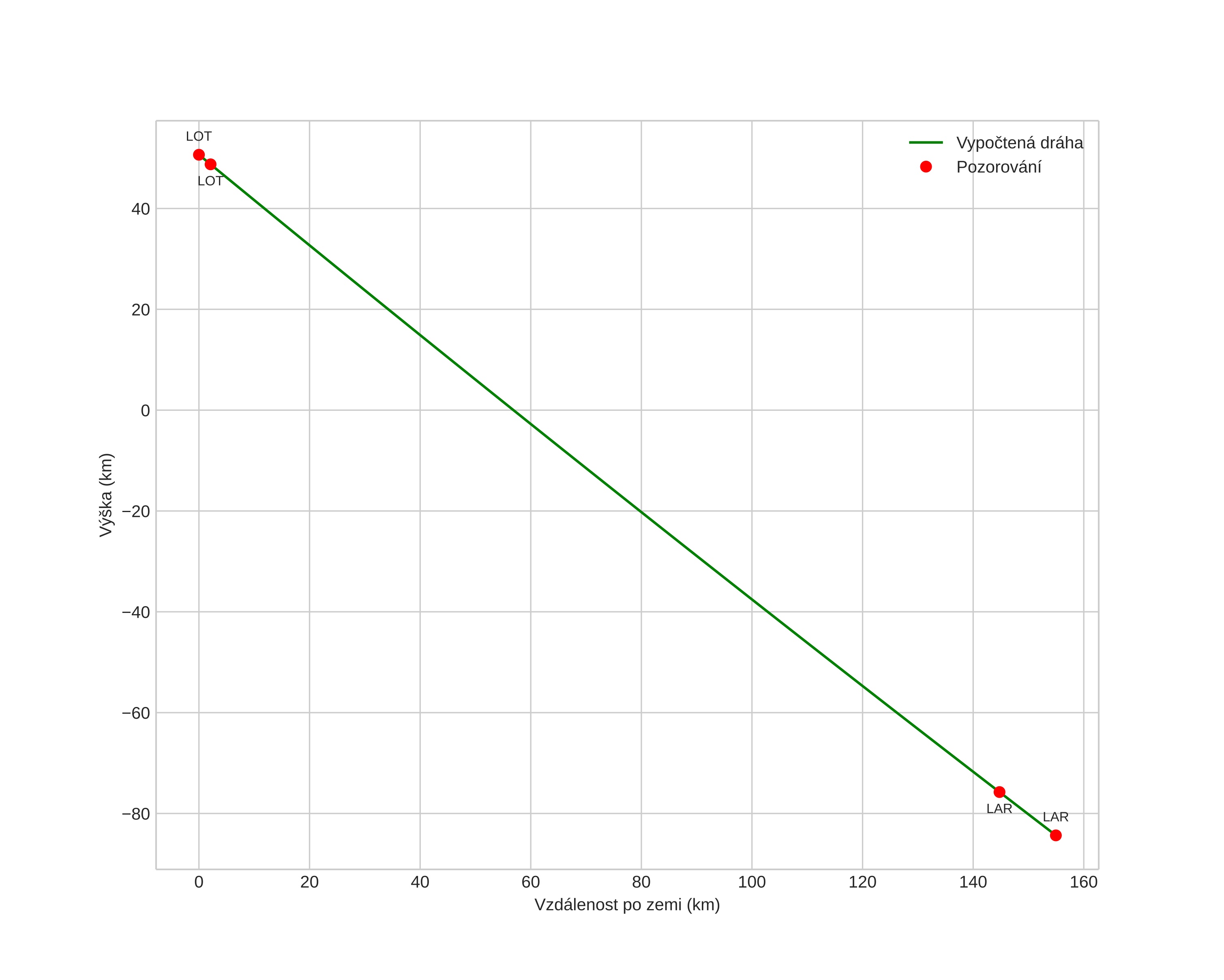
Atmosférická dráha meteoru:
Počáteční výška: 50,7 km
Konečná výška: -84,3 km
Počáteční poloha: 60,288N 11,418E
Konečná poloha: 60,355N 8,606E
Směr: 274,0°
Sklon: 41,1°
position vs time
speed and acceleration