🇳🇴 🇬🇧 🇩🇪 🇨🇿 🇫🇮

Meteor over Auli 2025-12-11 21:58:25 UTC

KML-fil  |  Interaktivt kart

Kartet viser peilingene for meteoren. De lysere linjene viser retningene fra observasjonsstedene for meteorens tilsynekomst, og de mørkere linjene viser hvor den sist kunne sees. Den blå pila viser meteorens synlige ferd.

static map
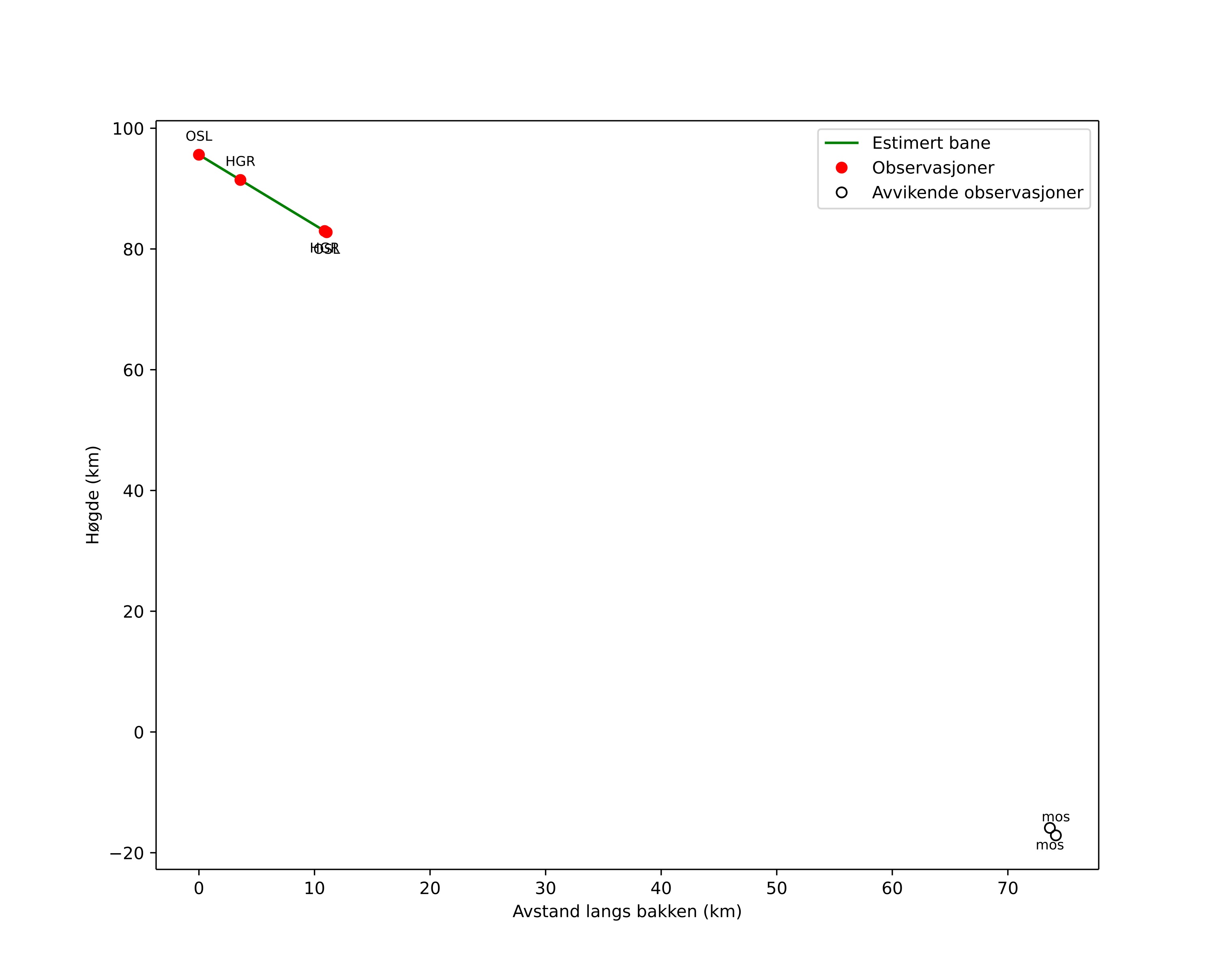
height profile
Meteorens atmosfæriske bane:
Starthøgde: 95,6 km
Slutthøgde: 82,8 km
Startposisjon: 60,009N 11,561E
Sluttposisjon: 60,039N 11,371E
Retning: 287,6°
Fallvinkel: 49,2°
Inngangshastighet: 36,5 km/s
Radiantens rektascensjon: 07:21 (110,4°)
Radiantens deklinasjon: 33,1°
Meteorsverm: Geminidene
Meteoroidens baneelement:
Perihelavstand: 0,146 AU
Eksentrisitet: 0,897
Inklinasjon: 24,3°
Knutelengde: 259,8°
Perihelargument: 323,3°
Midlere anomali: 338,1°
Epoke: 2025 DEC 11 21:58:25
orbit plot

Ikke-interaktivt plott | Interaktivt plott

position vs time
speed and acceleration

Hagar (HGR) cam6


gnomonic
Videoer
• Gnomonisk
• Gnomonisk med koordinater
• Original
• Original med koordinater
Bilder
• Gnomonisk
• Gnomonisk med koordinater
• Original
• Original med koordinater
Tekstfiler
• Deteksjon
• Observasjon
• Koordinater
• Logg
Lysstyrke

Moss (mos) cam7


gnomonic
Videoer
• Gnomonisk
• Gnomonisk med koordinater
• Original
• Original med koordinater
Bilder
• Gnomonisk
• Gnomonisk med koordinater
• Original
• Original med koordinater
Tekstfiler
• Deteksjon
• Observasjon
• Koordinater
• Logg
Lysstyrke

Voksenlia (OSL) cam6


gnomonic
Videoer
• Gnomonisk
• Gnomonisk med koordinater
• Original
• Original med koordinater
Bilder
• Gnomonisk
• Gnomonisk med koordinater
• Original
• Original med koordinater
Tekstfiler
• Deteksjon
• Observasjon
• Koordinater
• Logg
Lysstyrke