🇳🇴 🇬🇧 🇩🇪 🇨🇿 🇫🇮

Meteor Oppdalin yllä 2025-12-12 02:07:40 UTC

KML-tiedosto  |  Interaktiivinen kartta

Kartta näyttää meteorin suuntahavainnot. Vaaleammat viivat näyttävät suunnat havaintoasemilta meteorin ilmestyessä, ja tummemmat viivat näyttävät, missä se viimeksi nähtiin. Sininen nuoli näyttää meteorin näkyvän lennon.

static map
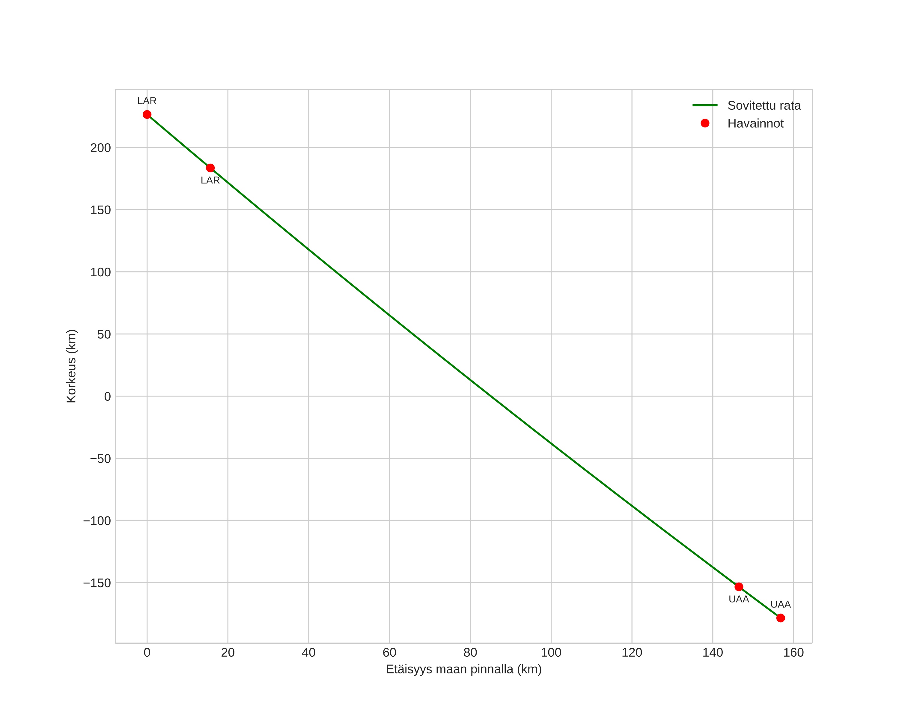
height profile
Meteorin ilmakehärata:
Alkukorkeus: 226,5 km
Loppukorkeus: -178,4 km
Alkupiste: 63,648N 9,927E
Loppupiste: 62,249N 9,538E
Suunta: 187,4°
Kallistuskulma: 68,8°
Tulonopeus: 66,7 km/s
Radiantin R,A,: 09:47 (146,8°)
Radiantin Dekl,: 84,2°
Meteoriparvi: Sporadinen
Meteoroidin rataelementit:
Perihelietäisyys: 0,875 AU
Eksentrisyys: 3,779
Inklinaatio: 71,5°
Nousevan solmun pituus: 259,9°
Perihelin argumentti: 210,7°
Keskianomalia: -70,6°
Epookki: 2025 DEC 12 02:07:40
orbit plot

Ei-interaktiivinen kuvaaja | Interaktiivinen kuvaaja

position vs time
speed and acceleration

Larvik (LAR) cam1


gnomonic
Videot:
• Gnomoninen
• Gnomoninen koordinaateilla
• Alkuperäinen
• Alkuperäinen koordinaateilla
Kuvat:
• Gnomoninen
• Gnomoninen koordinaateilla
• Alkuperäinen
• Alkuperäinen koordinaateilla
Tekstitiedostot:
• Havaintoraportti
• Observaatio
• Koordinaatit
• Loki
Kirkkaus