🇳🇴 🇬🇧 🇩🇪 🇨🇿 🇫🇮

Meteor over Meieribyen 2025-12-12 04:33:46 UTC

KML-fil  |  Interaktivt kart

Kartet viser peilingene for meteoren. De lysere linjene viser retningene fra observasjonsstedene for meteorens tilsynekomst, og de mørkere linjene viser hvor den sist kunne sees. Den blå pila viser meteorens synlige ferd.

static map
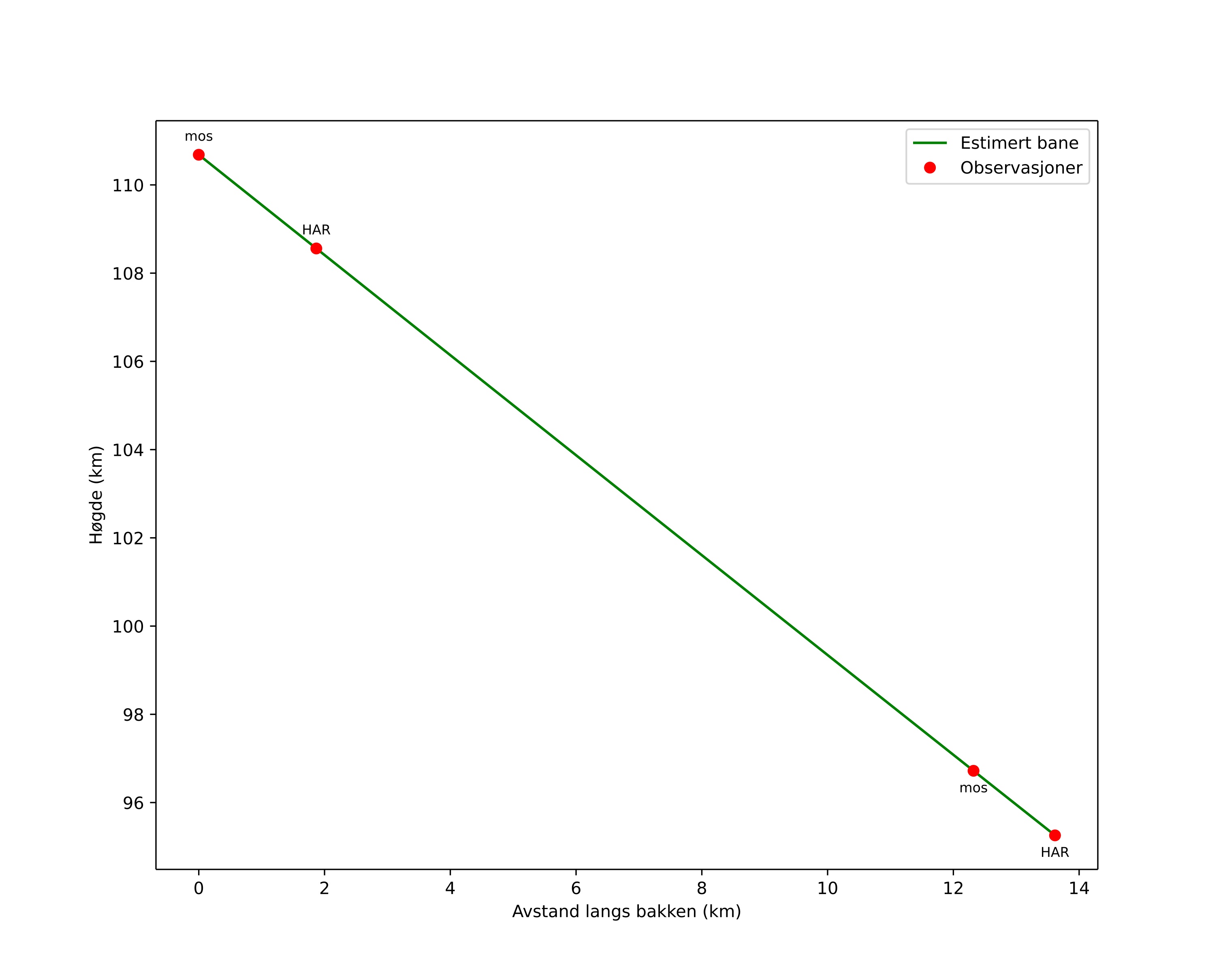
height profile
Meteorens atmosfæriske bane:
Starthøgde: 110,7 km
Slutthøgde: 95,3 km
Startposisjon: 59,353N 11,094E
Sluttposisjon: 59,471N 11,152E
Retning: 13,9°
Fallvinkel: 48,5°
Inngangshastighet: 73,0 km/s
Radiantens rektascensjon: 10:01 (150,4°)
Radiantens deklinasjon: 18,2°
Meteorsverm: sporadisk
Meteoroidens baneelement:
Perihelavstand: 0,631 AU
Eksentrisitet: 1,259
Inklinasjon: 168,4°
Knutelengde: 260,1°
Perihelargument: 249,1°
Midlere anomali: -8,4°
Epoke: 2025 DEC 12 04:33:46
orbit plot

Ikke-interaktivt plott | Interaktivt plott

position vs time
speed and acceleration

Harestua (HAR) cam7


gnomonic
Videoer
• Gnomonisk
• Gnomonisk med koordinater
• Original
• Original med koordinater
Bilder
• Gnomonisk
• Gnomonisk med koordinater
• Original
• Original med koordinater
Tekstfiler
• Deteksjon
• Observasjon
• Koordinater
• Logg
Lysstyrke

Moss (mos) cam7


gnomonic
Videoer
• Gnomonisk
• Gnomonisk med koordinater
• Original
• Original med koordinater
Bilder
• Gnomonisk
• Gnomonisk med koordinater
• Original
• Original med koordinater
Tekstfiler
• Deteksjon
• Observasjon
• Koordinater
• Logg
Lysstyrke