🇳🇴 🇬🇧 🇩🇪 🇨🇿 🇫🇮

Meteor Raufossin yllä 2025-12-12 05:13:19 UTC

KML-tiedosto  |  Interaktiivinen kartta

Kartta näyttää meteorin suuntahavainnot. Vaaleammat viivat näyttävät suunnat havaintoasemilta meteorin ilmestyessä, ja tummemmat viivat näyttävät, missä se viimeksi nähtiin. Sininen nuoli näyttää meteorin näkyvän lennon.

static map
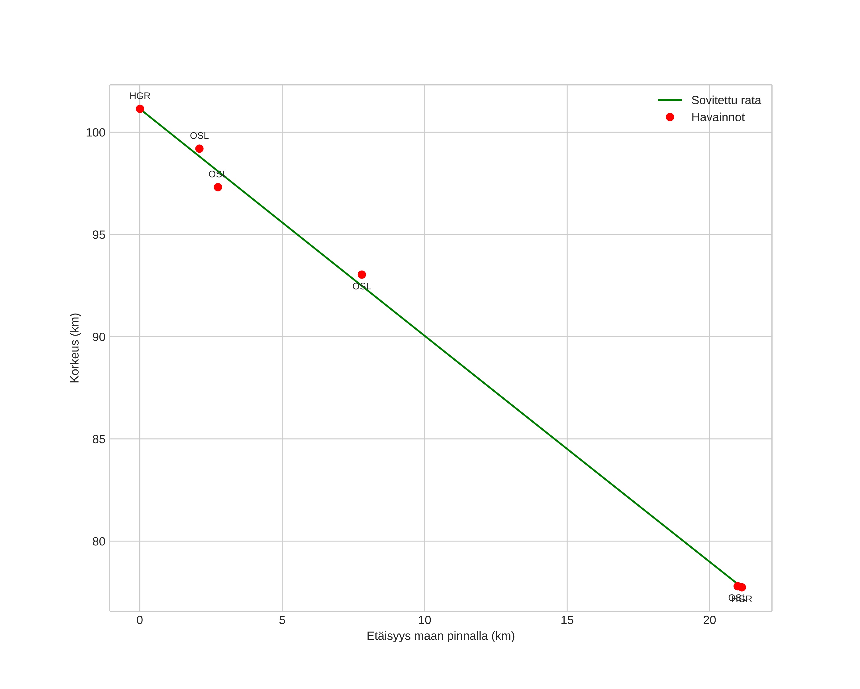
height profile
Meteorin ilmakehärata:
Alkukorkeus: 101,1 km
Loppukorkeus: 77,7 km
Alkupiste: 60,770N 10,184E
Loppupiste: 60,803N 10,568E
Suunta: 80,1°
Kallistuskulma: 47,9°
Tulonopeus: 37,6 km/s
Radiantin R,A,: 07:33 (113,3°)
Radiantin Dekl,: 35,2°
Meteoriparvi: Geminidit
Meteoroidin rataelementit:
Perihelietäisyys: 0,137 AU
Eksentrisyys: 0,904
Inklinaatio: 32,6°
Nousevan solmun pituus: 260,1°
Perihelin argumentti: 324,3°
Keskianomalia: 339,0°
Epookki: 2025 DEC 12 05:13:19
orbit plot

Ei-interaktiivinen kuvaaja | Interaktiivinen kuvaaja

position vs time
speed and acceleration

Hagar (HGR) cam7


gnomonic
Videot:
• Gnomoninen
• Gnomoninen koordinaateilla
• Alkuperäinen
• Alkuperäinen koordinaateilla
Kuvat:
• Gnomoninen
• Gnomoninen koordinaateilla
• Alkuperäinen
• Alkuperäinen koordinaateilla
Tekstitiedostot:
• Havaintoraportti
• Observaatio
• Koordinaatit
• Loki
Kirkkaus

Voksenlia (OSL) cam1


gnomonic
Videot:
• Gnomoninen
• Gnomoninen koordinaateilla
• Alkuperäinen
• Alkuperäinen koordinaateilla
Kuvat:
• Gnomoninen
• Gnomoninen koordinaateilla
• Alkuperäinen
• Alkuperäinen koordinaateilla
Tekstitiedostot:
• Havaintoraportti
• Observaatio
• Koordinaatit
• Loki
Kirkkaus

Voksenlia (OSL) cam7


gnomonic
Videot:
• Gnomoninen
• Gnomoninen koordinaateilla
• Alkuperäinen
• Alkuperäinen koordinaateilla
Kuvat:
• Gnomoninen
• Gnomoninen koordinaateilla
• Alkuperäinen
• Alkuperäinen koordinaateilla
Tekstitiedostot:
• Havaintoraportti
• Observaatio
• Koordinaatit
• Loki
Kirkkaus