🇳🇴 🇬🇧 🇩🇪 🇨🇿 🇫🇮

Meteor over Moen 2025-12-12 21:42:12 UTC

KML-fil  |  Interaktivt kart

Kartet viser peilingene for meteoren. De lysere linjene viser retningene fra observasjonsstedene for meteorens tilsynekomst, og de mørkere linjene viser hvor den sist kunne sees. Den blå pila viser meteorens synlige ferd.

static map
height profile
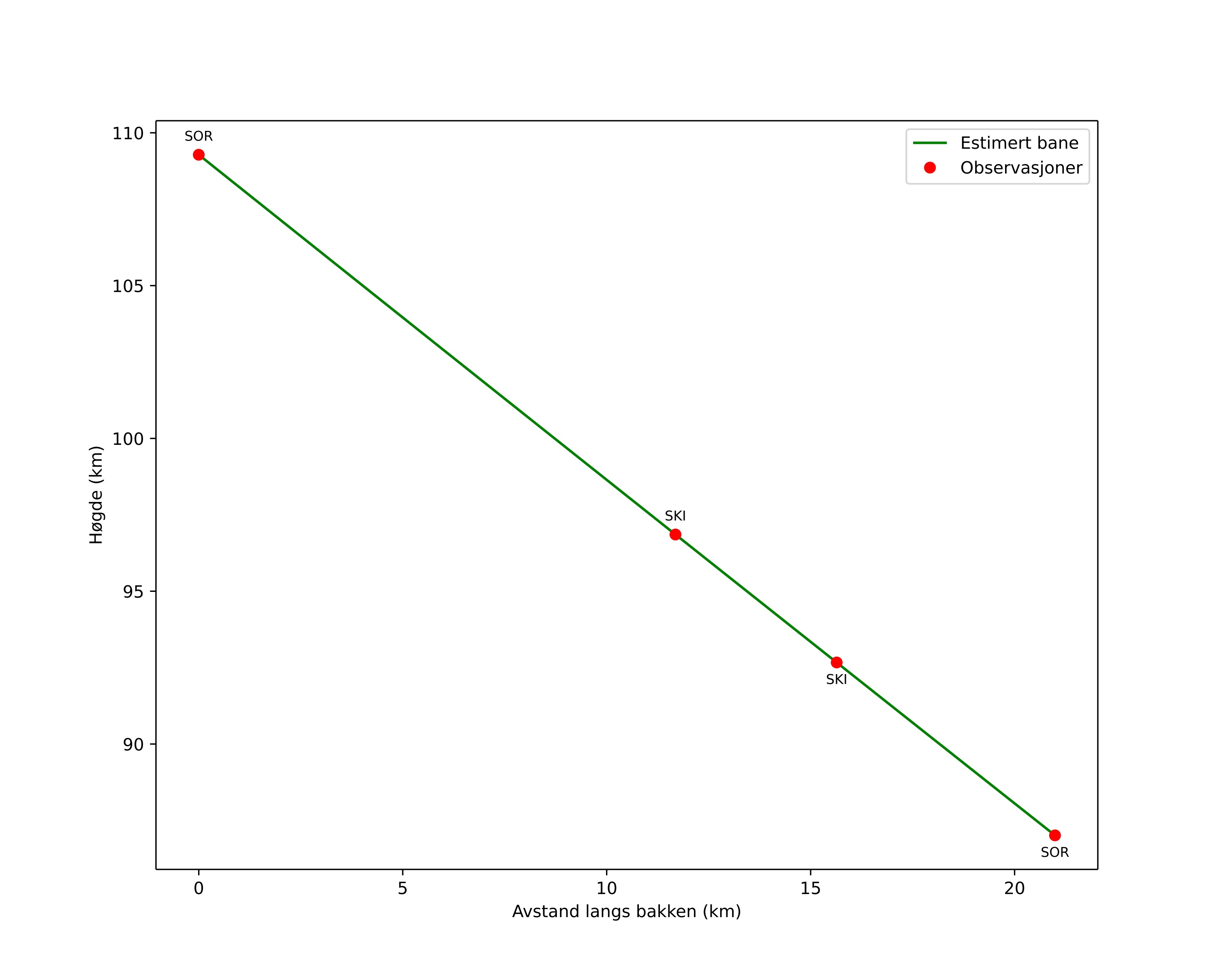
Meteorens atmosfæriske bane:
Starthøgde: 109,3 km
Slutthøgde: 87,0 km
Startposisjon: 69,180N 19,030E
Sluttposisjon: 69,274N 18,569E
Retning: 300,2°
Fallvinkel: 46,7°
Inngangshastighet: 38,0 km/s
Radiantens rektascensjon: 07:26 (111,7°)
Radiantens deklinasjon: 33,1°
Meteorsverm: Geminidene
Meteoroidens baneelement:
Perihelavstand: 0,136 AU
Eksentrisitet: 0,914
Inklinasjon: 26,7°
Knutelengde: 260,8°
Perihelargument: 323,6°
Midlere anomali: 342,1°
Epoke: 2025 DEC 12 21:42:12
orbit plot

Ikke-interaktivt plott | Interaktivt plott

position vs time
speed and acceleration

Skibotn (SKI) cam6


gnomonic
Videoer
• Gnomonisk
• Gnomonisk med koordinater
• Original
• Original med koordinater
Bilder
• Gnomonisk
• Gnomonisk med koordinater
• Original
• Original med koordinater
Tekstfiler
• Deteksjon
• Observasjon
• Koordinater
• Logg
Lysstyrke

Sorreisa (SOR) cam6


gnomonic
Videoer
• Gnomonisk
• Gnomonisk med koordinater
• Original
• Original med koordinater
Bilder
• Gnomonisk
• Gnomonisk med koordinater
• Original
• Original med koordinater
Tekstfiler
• Deteksjon
• Observasjon
• Koordinater
• Logg
Lysstyrke