🇳🇴 🇬🇧 🇩🇪 🇨🇿 🇫🇮

Meteor Stangen yllä 2025-12-13 16:38:05 UTC

KML-tiedosto  |  Interaktiivinen kartta

Kartta näyttää meteorin suuntahavainnot. Vaaleammat viivat näyttävät suunnat havaintoasemilta meteorin ilmestyessä, ja tummemmat viivat näyttävät, missä se viimeksi nähtiin. Sininen nuoli näyttää meteorin näkyvän lennon.

static map
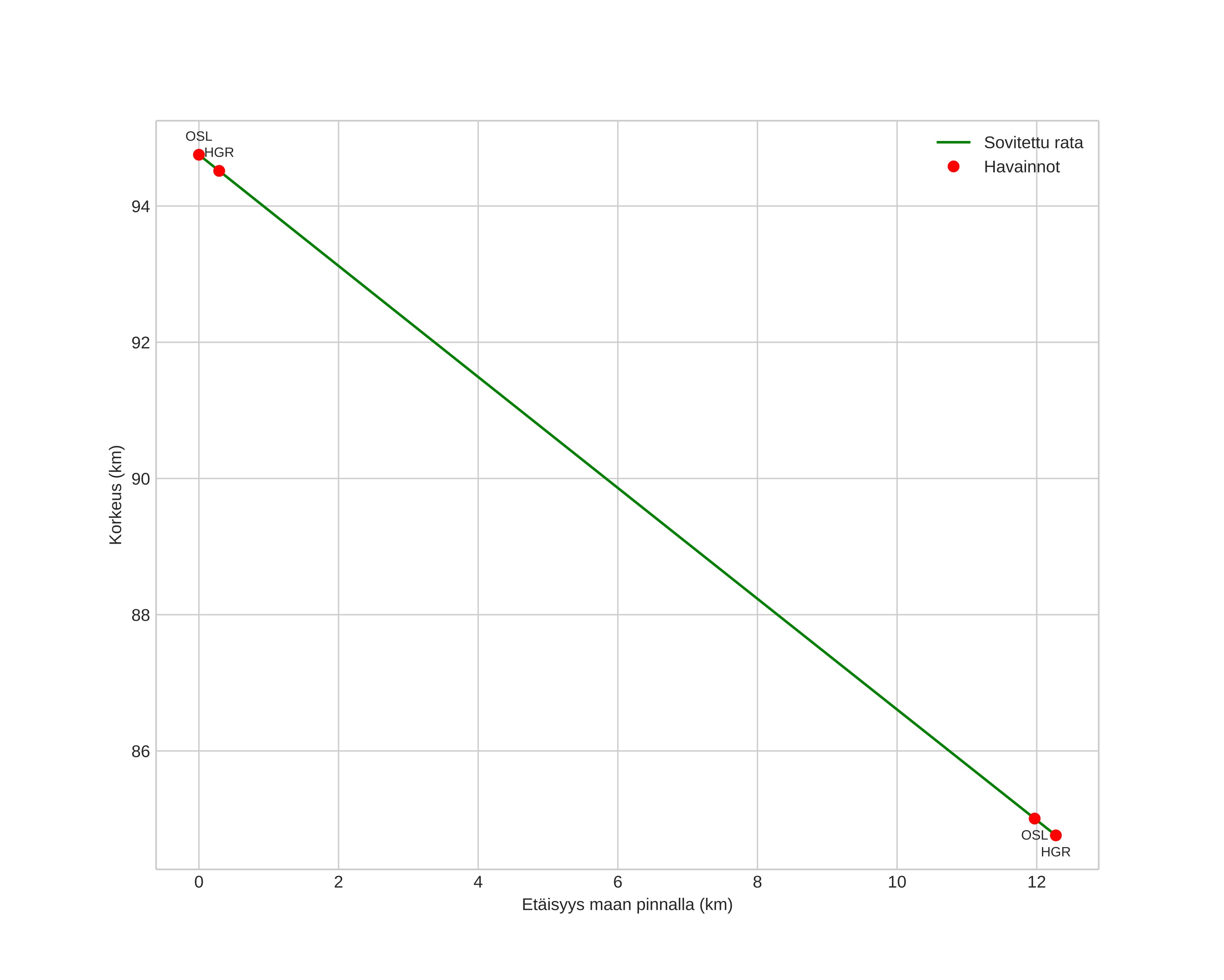
height profile
Meteorin ilmakehärata:
Alkukorkeus: 94,8 km
Loppukorkeus: 84,8 km
Alkupiste: 60,785N 11,168E
Loppupiste: 60,691N 11,287E
Suunta: 148,4°
Kallistuskulma: 39,2°
Tulonopeus: 39,6 km/s
Radiantin R,A,: 14:36 (219,1°)
Radiantin Dekl,: 59,8°
Meteoriparvi: Sporadinen
Meteoroidin rataelementit:
Perihelietäisyys: 0,984 AU
Eksentrisyys: 0,621
Inklinaatio: 66,5°
Nousevan solmun pituus: 261,6°
Perihelin argumentti: 179,9°
Keskianomalia: 0,0°
Epookki: 2025 DEC 13 16:38:05
orbit plot

Ei-interaktiivinen kuvaaja | Interaktiivinen kuvaaja

position vs time
speed and acceleration

Hagar (HGR) cam7


gnomonic
Videot:
• Gnomoninen
• Gnomoninen koordinaateilla
• Alkuperäinen
• Alkuperäinen koordinaateilla
Kuvat:
• Gnomoninen
• Gnomoninen koordinaateilla
• Alkuperäinen
• Alkuperäinen koordinaateilla
Tekstitiedostot:
• Havaintoraportti
• Observaatio
• Koordinaatit
• Loki
Kirkkaus

Voksenlia (OSL) cam1


gnomonic
Videot:
• Gnomoninen
• Gnomoninen koordinaateilla
• Alkuperäinen
• Alkuperäinen koordinaateilla
Kuvat:
• Gnomoninen
• Gnomoninen koordinaateilla
• Alkuperäinen
• Alkuperäinen koordinaateilla
Tekstitiedostot:
• Havaintoraportti
• Observaatio
• Koordinaatit
• Loki
Kirkkaus