🇳🇴 🇬🇧 🇩🇪 🇨🇿 🇫🇮

Meteor over Brumunddal 2025-12-13 17:31:47 UTC

KML file  |  Interactive map

The map shows the bearings for the meteor. The lighter lines show the directions from the observation sites at the meteor's appearance, and the darker lines show where it was last seen. The blue arrow indicates the visible path of the meteor.

static map
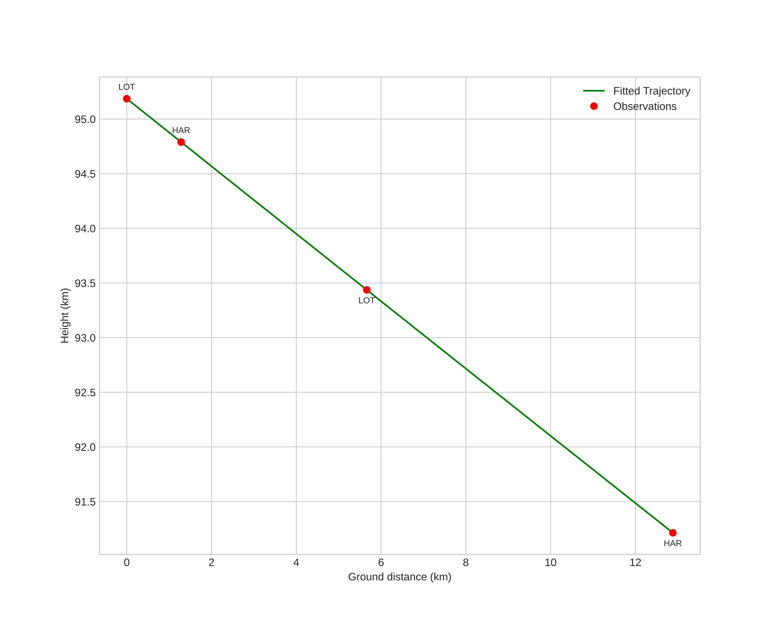
height profile
Meteor's Atmospheric Trajectory:
Start height: 95.2 km
End height: 91.2 km
Start position: 61.163N 11.102E
End position: 61.093N 10.909E
Direction: 233.5°
Inclination angle: 17.3°
Entry speed: 36.1 km/s
Radiant R.A.: 07:29 (112.3°)
Radiant Dec.: 30.6°
Meteor Shower: Geminids
Meteoroid's Orbital Elements:
Perihelion distance: 0.137 AU
Eccentricity: 0.898
Inclination: 19.5°
Long. of Asc. Node: 261.6°
Argument of Perihelion: 325.0°
Mean Anomaly: 336.6°
Epoch: 2025 DEC 13 17:31:47
orbit plot

Non-interactive plot | Interactive plot

position vs time
speed and acceleration

Harestua (HAR) cam1


gnomonic
Videos
• Gnomonic
• Gnomonic with coordinates
• Original
• Original with coordinates
Images
• Gnomonic
• Gnomonic with coordinates
• Original
• Original with coordinates
Text Files
• Detection
• Observation
• Coordinates
• Log
Brightness

Loten (LOT) cam6


gnomonic
Videos
• Gnomonic
• Gnomonic with coordinates
• Original
• Original with coordinates
Images
• Gnomonic
• Gnomonic with coordinates
• Original
• Original with coordinates
Text Files
• Detection
• Observation
• Coordinates
• Log
Brightness