🇳🇴 🇬🇧 🇩🇪 🇨🇿 🇫🇮

Meteor Nesbyenin yllä 2025-12-13 18:04:50 UTC

KML-tiedosto  |  Interaktiivinen kartta

Kartta näyttää meteorin suuntahavainnot. Vaaleammat viivat näyttävät suunnat havaintoasemilta meteorin ilmestyessä, ja tummemmat viivat näyttävät, missä se viimeksi nähtiin. Sininen nuoli näyttää meteorin näkyvän lennon.

static map
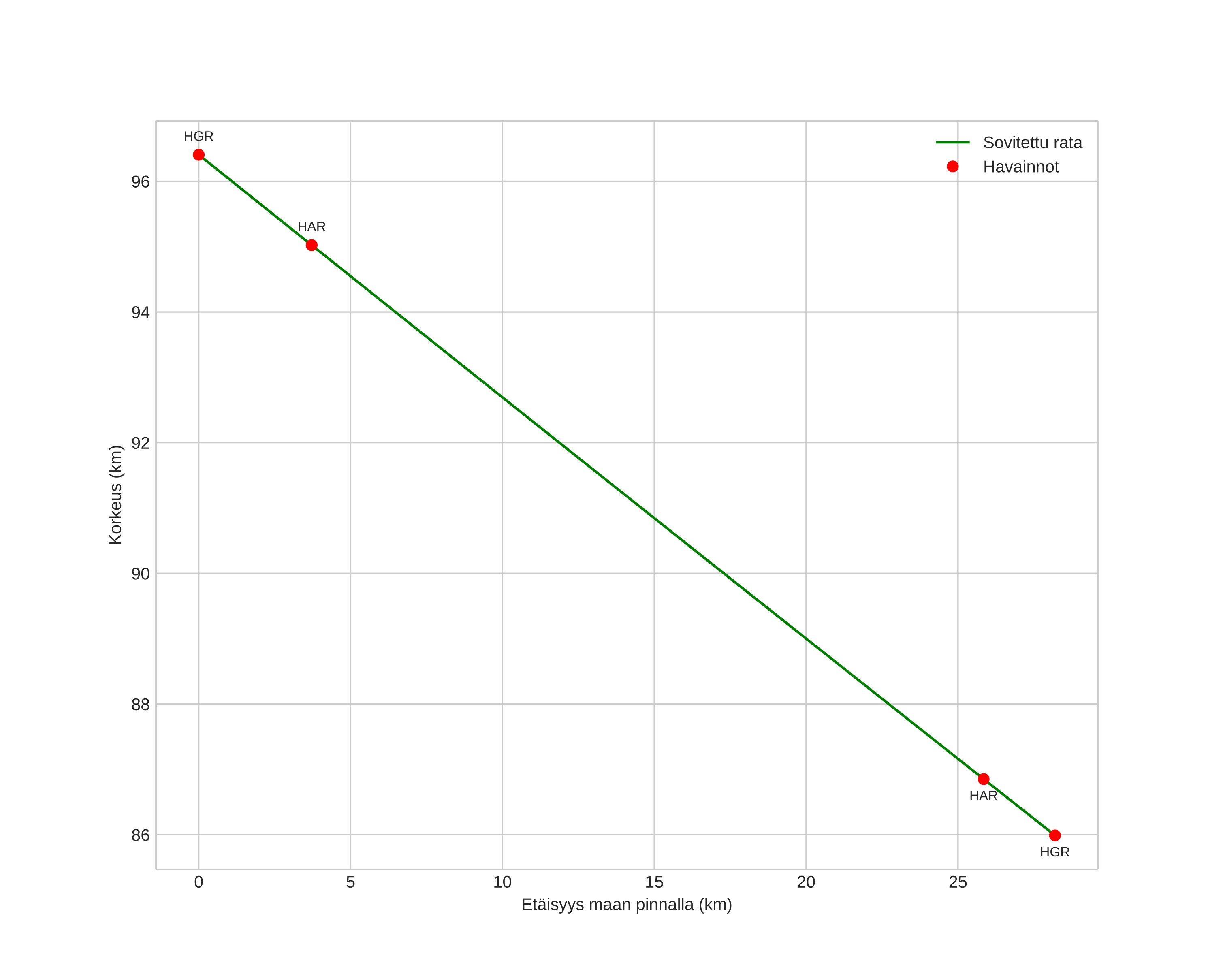
height profile
Meteorin ilmakehärata:
Alkukorkeus: 96,4 km
Loppukorkeus: 86,0 km
Alkupiste: 60,830N 9,601E
Loppupiste: 60,692N 9,165E
Suunta: 237,2°
Kallistuskulma: 20,2°
Tulonopeus: 36,3 km/s
Radiantin R,A,: 07:33 (113,4°)
Radiantin Dekl,: 31,9°
Meteoriparvi: Geminidit
Meteoroidin rataelementit:
Perihelietäisyys: 0,135 AU
Eksentrisyys: 0,898
Inklinaatio: 23,0°
Nousevan solmun pituus: 261,6°
Perihelin argumentti: 325,4°
Keskianomalia: 335,9°
Epookki: 2025 DEC 13 18:04:50
orbit plot

Ei-interaktiivinen kuvaaja | Interaktiivinen kuvaaja

position vs time
speed and acceleration

Hagar (HGR) cam7


gnomonic
Videot:
• Gnomoninen
• Gnomoninen koordinaateilla
• Alkuperäinen
• Alkuperäinen koordinaateilla
Kuvat:
• Gnomoninen
• Gnomoninen koordinaateilla
• Alkuperäinen
• Alkuperäinen koordinaateilla
Tekstitiedostot:
• Havaintoraportti
• Observaatio
• Koordinaatit
• Loki
Kirkkaus

Harestua (HAR) cam5


gnomonic
Videot:
• Gnomoninen
• Gnomoninen koordinaateilla
• Alkuperäinen
• Alkuperäinen koordinaateilla
Kuvat:
• Gnomoninen
• Gnomoninen koordinaateilla
• Alkuperäinen
• Alkuperäinen koordinaateilla
Tekstitiedostot:
• Havaintoraportti
• Observaatio
• Koordinaatit
• Loki
Kirkkaus