🇳🇴 🇬🇧 🇩🇪 🇨🇿 🇫🇮

Meteor Renan yllä 2025-12-13 18:41:52 UTC

KML-tiedosto  |  Interaktiivinen kartta

Kartta näyttää meteorin suuntahavainnot. Vaaleammat viivat näyttävät suunnat havaintoasemilta meteorin ilmestyessä, ja tummemmat viivat näyttävät, missä se viimeksi nähtiin. Sininen nuoli näyttää meteorin näkyvän lennon.

static map
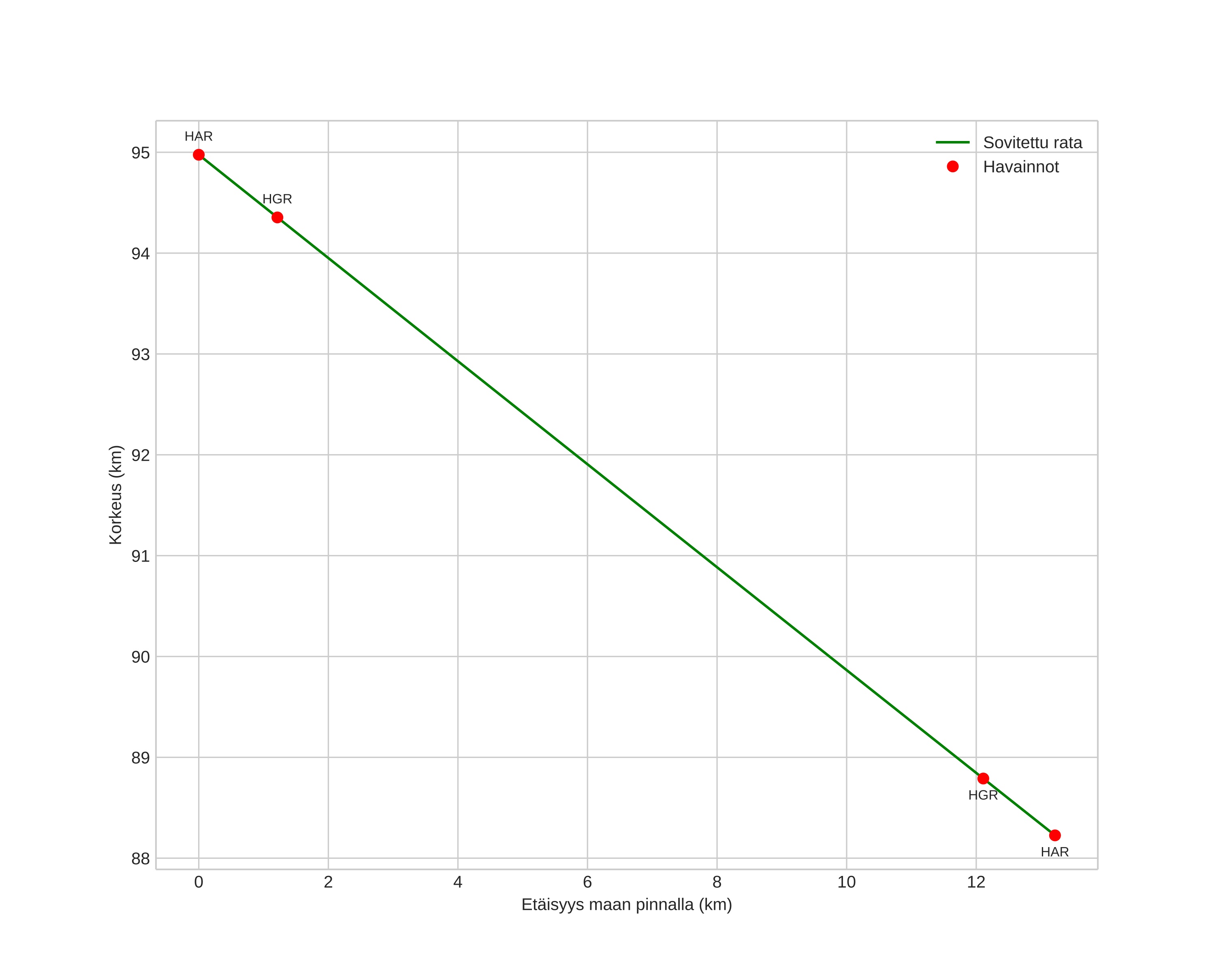
height profile
Meteorin ilmakehärata:
Alkukorkeus: 95,0 km
Loppukorkeus: 88,2 km
Alkupiste: 61,092N 11,546E
Loppupiste: 61,041N 11,324E
Suunta: 244,8°
Kallistuskulma: 27,2°
Tulonopeus: 36,0 km/s
Radiantin R,A,: 07:32 (113,1°)
Radiantin Dekl,: 34,4°
Meteoriparvi: Geminidit
Meteoroidin rataelementit:
Perihelietäisyys: 0,159 AU
Eksentrisyys: 0,883
Inklinaatio: 26,6°
Nousevan solmun pituus: 261,6°
Perihelin argumentti: 322,1°
Keskianomalia: 336,3°
Epookki: 2025 DEC 13 18:41:52
orbit plot

Ei-interaktiivinen kuvaaja | Interaktiivinen kuvaaja

position vs time
speed and acceleration

Hagar (HGR) cam7


gnomonic
Videot:
• Gnomoninen
• Gnomoninen koordinaateilla
• Alkuperäinen
• Alkuperäinen koordinaateilla
Kuvat:
• Gnomoninen
• Gnomoninen koordinaateilla
• Alkuperäinen
• Alkuperäinen koordinaateilla
Tekstitiedostot:
• Havaintoraportti
• Observaatio
• Koordinaatit
• Loki
Kirkkaus

Harestua (HAR) cam1


gnomonic
Videot:
• Gnomoninen
• Gnomoninen koordinaateilla
• Alkuperäinen
• Alkuperäinen koordinaateilla
Kuvat:
• Gnomoninen
• Gnomoninen koordinaateilla
• Alkuperäinen
• Alkuperäinen koordinaateilla
Tekstitiedostot:
• Havaintoraportti
• Observaatio
• Koordinaatit
• Loki
Kirkkaus